
| Product Code: DH / ATL/1003 | Molecular Formula: C11H13NO3 |
| CAS Number: 29122-69-8 | Molecular Weight: 207.23 |
Synonyms: 2-[4-[[(2RS)-oxiran-2-yl]methoxy]phenyl]acetamide

| Product Code: DH /ATL/1004 | Molecular Formula: Molecular Formula:C11H14NO3 CL |
| CAS Number: CAS Number: N/A | Molecular Weight: Molecular Weight:243.69 |
Synonyms: Synonyms : 2-[4-[(2RS)-3-chloro-2-hydroxypropoxy]phenyl]acetamide

| Product Code: DH /ATL/1007 | Molecular Formula: C14H20NNaO4 |
| CAS Number: 56392-14-4 | Molecular Weight: 289.30 |
Synonyms: 2-[4-[(2RS)-2-Hydroxy-3-[(1-methylethyl)amino]propoxy]phenyl]acetic acid sodium salt

| Product Code: DH /ATL/1008 | Molecular Formula: C14H20N2O2 |
| CAS Number: N/A | Molecular Weight: 248.32 |
Synonyms: 2-[4-[(2RS)-2-hydroxy-3-[(1-methylethyl)amino]propoxy]phenyl]acetonitrile

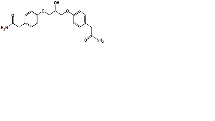
| Product Code: DH / ATL/1005 | Molecular Formula: C19H22N2O3 |
| CAS Number: N/A | Molecular Weight: NA |
Synonyms: 2,2'-[2-Hydroxypropan-1,3-diylbis(oxy-4,1-phenylene)]diacetamide