
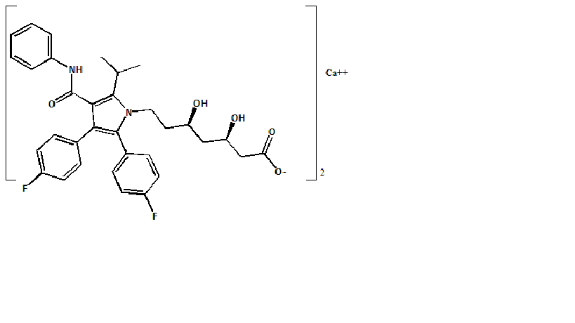
| Product Code: DH /ATV/1012 | Molecular Formula: C66H66F4N4O10Ca |
| CAS Number: 693793-53-2 | Molecular Weight: 1191.32 |
Synonyms: (3R,5R)-7-[3-(Phenylcarbamoyl)-4,5-bis(4-fluorophenyl)-2-isopropyl-1H-pyrrol-1-yl]-3,5-dihydroxyheptanoic acid Calcium salt(2:1)

| Product Code: DH /ATV/1016 | Molecular Formula: C26H22FNO4 |
| CAS Number: 148146-51-4 | Molecular Weight: 431.46 |
Synonyms: 3-(4-Fluorobenzoyl)-2-isobutyryl-3-phenyloxirane-2-carboxylic acid phenylamide

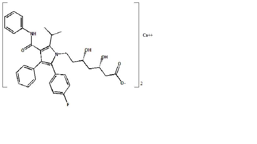
| Product Code: DH /ATV/1021 | Molecular Formula: C66H68F2N4O10Ca |
| CAS Number: 501121-34-2 | Molecular Weight: 1155.34 |
Synonyms: (3S,5S)-7-[3-(Phenylcarbamoyl)-5-(4-fluorophenyl)-2-isopropyl-4-phenyl-1H-pyrrol-1-yl]-3,5-dihydroxyheptanoic acid calcium salt (2:1)

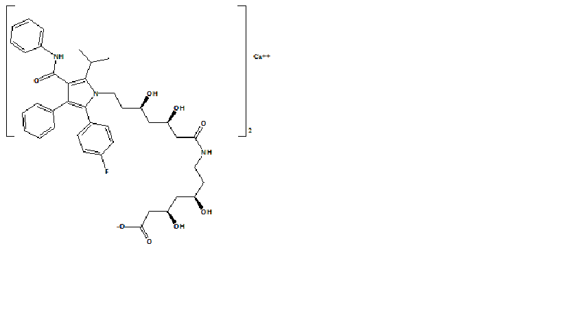
| Product Code: DH /ATV/1010 | Molecular Formula: C80H94F2N6O16Ca |
| CAS Number: 1105067-87-5 | Molecular Weight: 1473.71 |
Synonyms: (3R,5R)-7 -[7 -[2-( 4-Fluorophenyl)-5-( 1-methylethyl)-3-phenyl-4-phenyl carbamoyl-pyrro l-1-yl]-3,5 -dihydroxy-heptanoylamino ]-3,5 -dihydroxy, heptanoic acid calcium salt

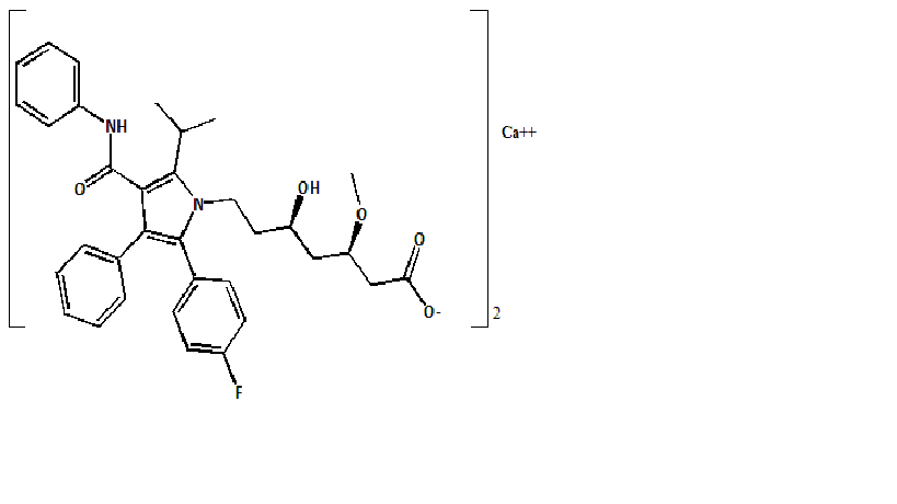
| Product Code: DH /ATV/1018 | Molecular Formula: C68H72F2N4O10Ca |
| CAS Number: 887196-29-4 | Molecular Weight: 1183.41 |
Synonyms: (3R,5R)-7 -[2-( 4-Fluorophenyl)-5-( 1-methylethyl)-3-phenyl-4-phenylcarbamoyl- 1H-pyrrol-1-yl]-5-hydroxy-3-methoxyheptanoic acid calcium salt (2: 1)