
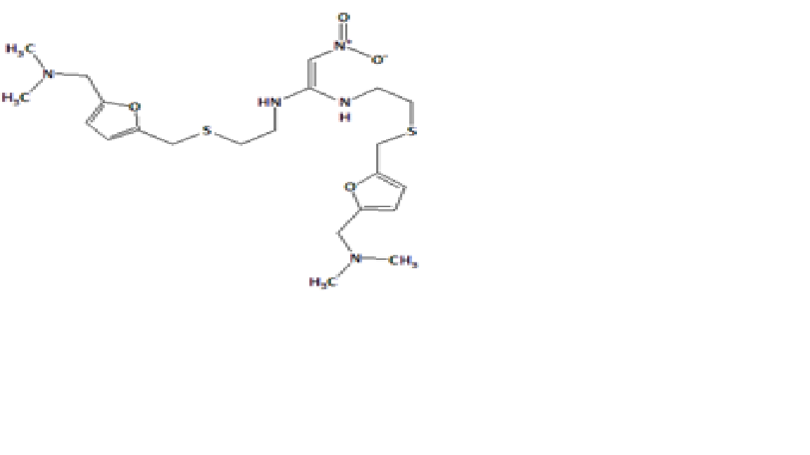
| Product Code: DH/RTD/1001 | Molecular Formula: C22H35N5O4S2 |
| CAS Number: 72126-78-4 | Molecular Weight: 497.67 |
Synonyms: N,N-bis[2-[[[5-[(dimethylamino)methyl]furan-2-yl]methyl]sulphanyl]ethyl]-2-nitroethene-1,1-diamine;Ranitidine Related Compound B (USP)

| Product Code: RTD/1002 | Molecular Formula: C10H18N2OS |
| CAS Number: 66356-53-4 | Molecular Weight: 214.33 |
Synonyms: 2-[[[5-[(dimethylamino)methyl]furan-2-yl]methyl]sulphanyl] ethanamin

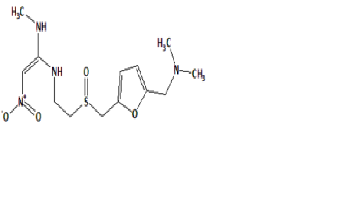
| Product Code: DH/RTD/1003 | Molecular Formula: C13H22N4O4S |
| CAS Number: 73851-70-4 | Molecular Weight: 330.40 |
Synonyms: N-{2-{{{5-[(Dimethylamino)methyl]furan-2-yl}methyl}sulfinyl}ethyl}-N?-methyl-2-nitroethene-1,1-diamine

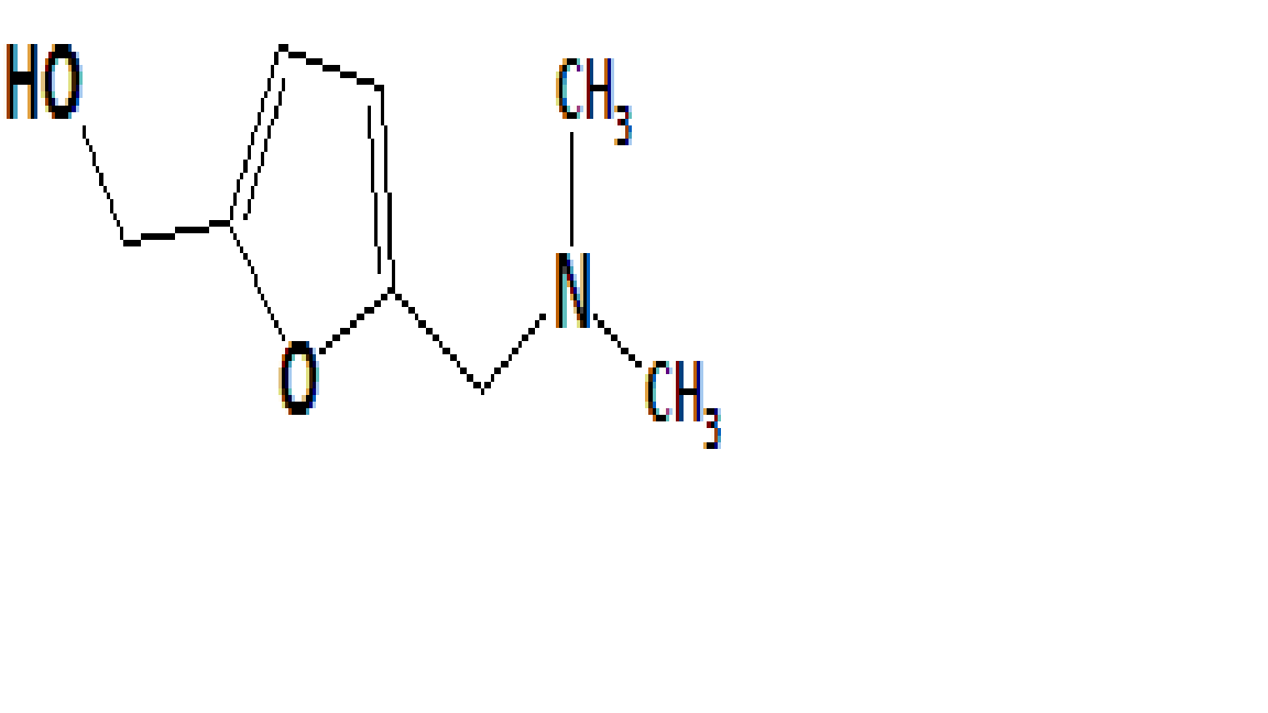
| Product Code: DH/RTD/1004 | Molecular Formula: C8H13NO2 |
| CAS Number: 15433-79-1 | Molecular Weight: 155.19 |
Synonyms: [5-[(dimethylamino)methyl]furan-2-yl]methanol

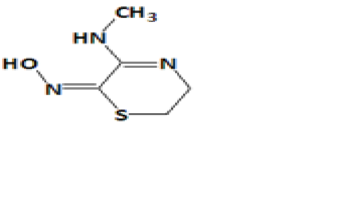
| Product Code: DH/RTD/1005 | Molecular Formula: C5H9N3OS |
| CAS Number: 148639-72-9 | Molecular Weight: 159.20 |
Synonyms: 3-(methylamine)-5,6-dihydro-2H-1,4-thiazin-2-one-oxime