
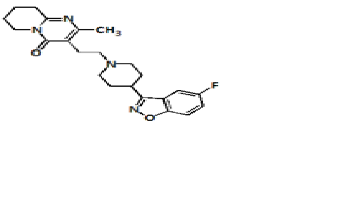
| Product Code: DH/RIS/1002 | Molecular Formula: C23H27FN4O2 |
| CAS Number: 1199589-74-6 | Molecular Weight: 410.48 |
Synonyms: 3-[2-[4-(5-Fluoro-1,2-benzisoxazol-3-yl)piperidin-1-yl]ethyl]-2-methyl-6,7,8,9-tetrahydro-4H-pyrido[1,2-a]pyrimidin-4-one

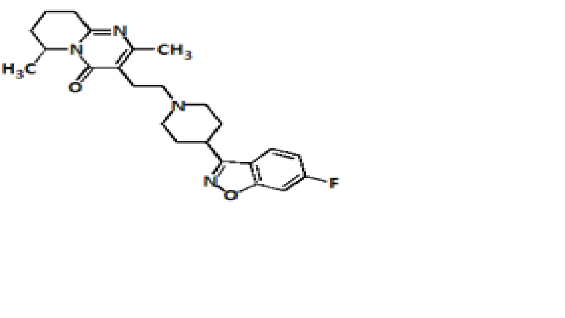
| Product Code: DH/RIS/1007 | Molecular Formula: C24H29FN4O2 |
| CAS Number: 1346602-28-5 | Molecular Weight: 424.51 |
Synonyms: (6RS)-3-[2-[4-(6-Fluoro-1,2-benzisoxazol-3-yl)piperidin-1-yl]ethyl]-2,6-dimethyl-6,7,8,9-tetrahydro-4H-pyrido[1,2-a]pyrimidin-4-one

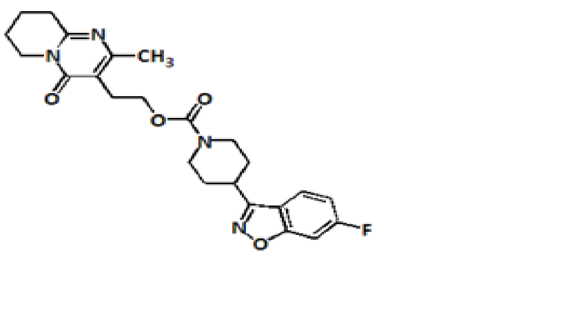
| Product Code: DH/RIS/1008 | Molecular Formula: C24H27FN4O4 |
| CAS Number: NA | Molecular Weight: 454.49 |
Synonyms: 2-[2-Methyl-4-oxo-6,7,8,9-tetrahydro-4H-pyrido[1,2-a] pyrimidin-3-yl] ethyl 4-(6-fluoro-1,2-benzisoxazol-3-yl)piperidin-1-carboxylate

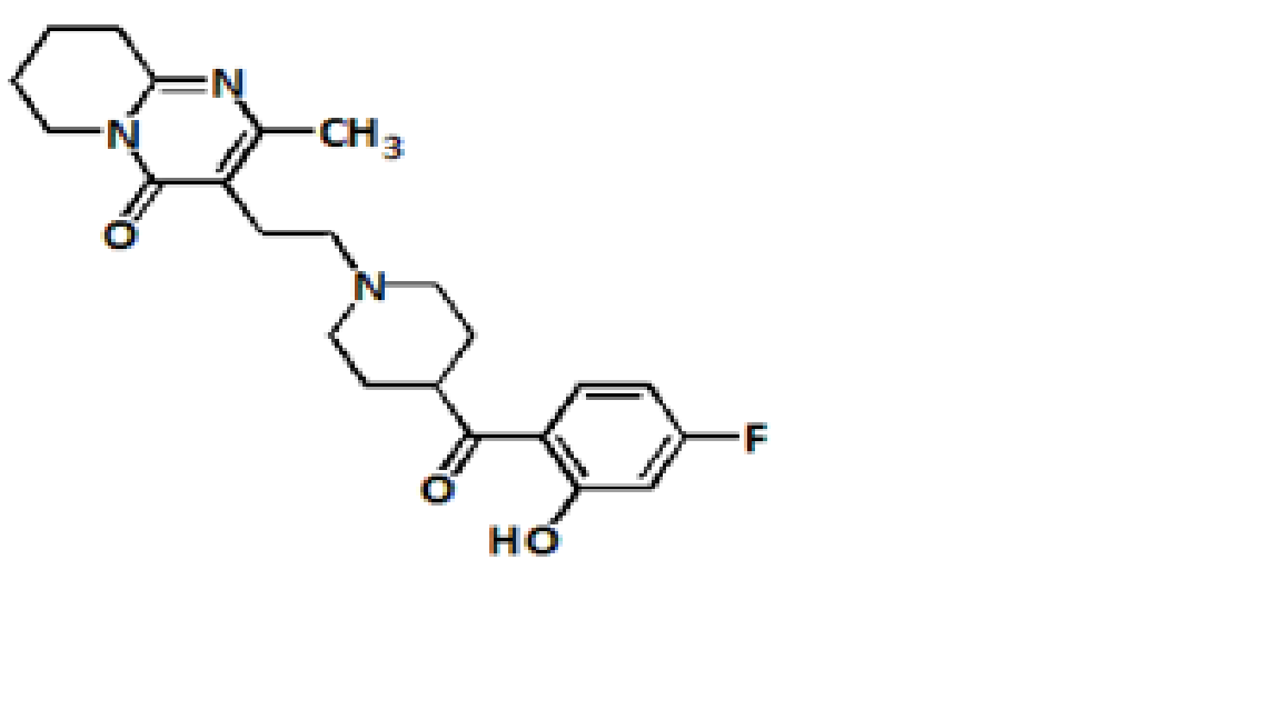
| Product Code: DH/RIS/1003 | Molecular Formula: C23H28FN3O3 |
| CAS Number: NA | Molecular Weight: 413.49 |
Synonyms: 3-[2-[4-(4-fluoro-2-hydroxybenzoyl)piperidin-1-yl]ethyl]-2-methyl-6,7,8,9-tetrahydro-4H-pyrido[1,2-a]pyrimidin-4-one

| Product Code: DH/RIS/1005 | Molecular Formula: C23H27FN4O3 |
| CAS Number: 832747-55-4 | Molecular Weight: 426.48 |
Synonyms: 3-[2-[4-(6-Fluoro-1,2-benzisoxazol-3-yl)-1-oxido-1-piperidinyl]ethyl]-6,7,8,9-tetrahydro-2-methyl-4H-pyrido[1,2-a]pyrimidin-4-one