
| Product Code: DH/RTN/1002 | Molecular Formula: C13H20N2O2 |
| CAS Number: 25081-93-0 | Molecular Weight: 236.31 |
Synonyms: N,N-Dimethylcarbamic acid 3-[(RS)-1-(dimethyl amino) ethyl]phenyl ester

| Product Code: DH/RTN/1003 | Molecular Formula: C10H15NO |
| CAS Number: 139306-10-8 | Molecular Weight: 165.23 |
Synonyms: (S)-3-[1-(Dimethylamino)ethyl]phenol

| Product Code: DH/RTN/1004 | Molecular Formula: C12H15NO3 |
| CAS Number: 855300-09-3 | Molecular Weight: 221.25 |
Synonyms: 3-Acetylphenyl ethyl(methyl)carbamate

| Product Code: DH/RZT/1006 | Molecular Formula: C28H35N7 |
| CAS Number: 1016900-25-6 | Molecular Weight: 469.62 |
Synonyms: N,N-Dimethyl-2-[(2-(3-(2-Dimethylamino)ethyl)-1H-indol-5-yl methyl)]-5-(1H-1,2,4-trizol-1-ylmethyl)-1H-indol-3-yl)ethan-1-amine

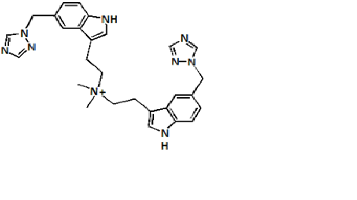
| Product Code: DH/RZT/1003 | Molecular Formula: C29H32N9 |
| CAS Number: NA | Molecular Weight: 494.61 |
Synonyms: N,N,-Dimethyl-2-[5-(1H-1,2,4-triazol-1-yl methyl)-1H-indol-3-yl]-N-[2-[(5-(1H-1,2,4- triazol-1-yl methyl)-1H-indol-3-yl]ethyl]ethanaminium