
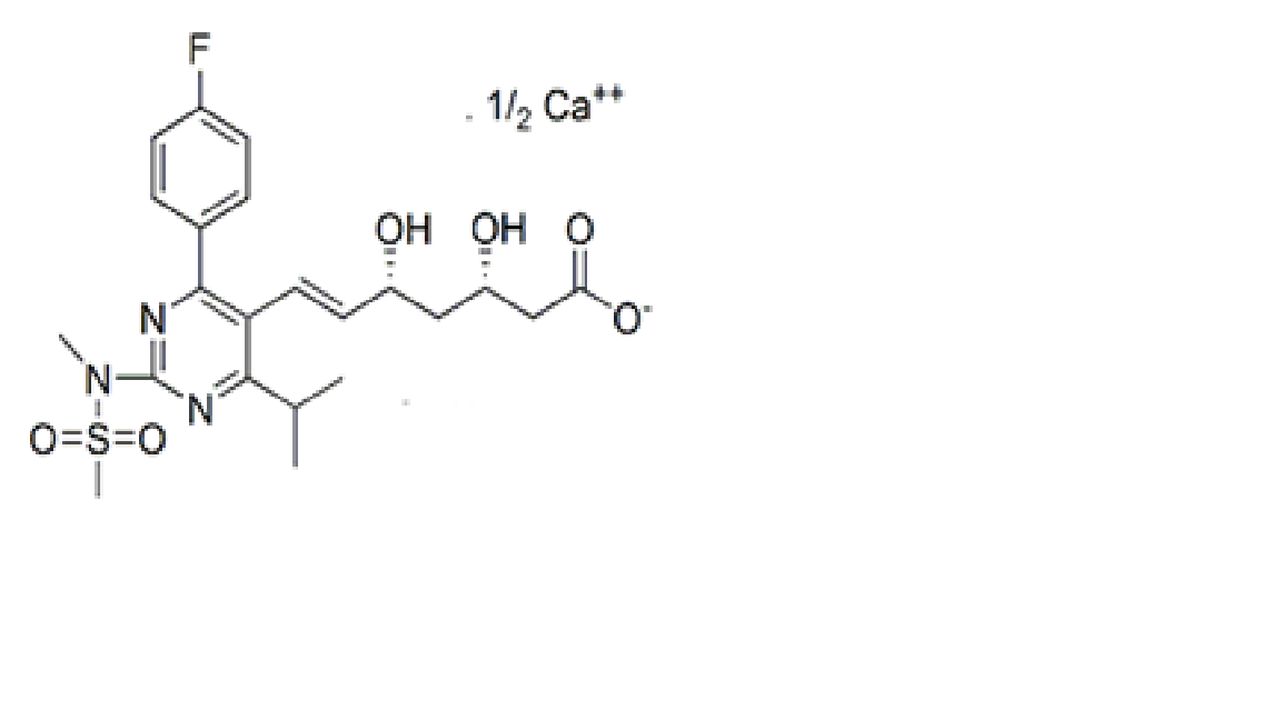
| Product Code: DH/RSV/1006 | Molecular Formula: C22H27FN3O6S.1/2Ca |
| CAS Number: 1242184-42-4 | Molecular Weight: 500.5 |
Synonyms: (3S,5R,6E)-7-[4-(4-Fluorophenyl)-6-(1-methylethyl)-2-[methyl (methyl sulfonyl) amino]-5-pyrimidinyl]-3,5-dihydroxy-6-heptenoic acid calcium salt; Rosuvastatin EP Impurity G; enti-Rosuvastatin Calcium; (3S,5R)-Rosuvastatin Calcium; Rosuvastatin Related Compound D

| Product Code: DH/RSV/1007 | Molecular Formula: C23H30FN3O6S |
| CAS Number: 147118-40-9 | Molecular Weight: 495.56 |
Synonyms: : (3R,5S,6E)-7-[4-(4-Fluorophenyl)-6-(1-methylethyl)-2-(methyl-methyl sulfonyl-amino)-pyrimidin-5-yl]-3,5-dihydroxy-hept-6-enoic acid methyl esteR

| Product Code: DH/SXN/1001 | Molecular Formula: C18H24N2O3 |
| CAS Number: 1350800-77-9 | Molecular Weight: 316.39 |
Synonyms: (1aS,4S,6aR,7aS)-Hexahydro-4-(3-hydroxytricyclo[3.3.1.13,7]dec-1-yl)-1H-cyclopropa[4,5]pyrrolo[1,2-a]pyrazine-3,6-dione

| Product Code: DH/SXN/1002 | Molecular Formula: C18H25N3O2 |
| CAS Number: 1350800-76-8 | Molecular Weight: 315.41 |
Synonyms: (1aS,4S,6aR,7aS)-6-Imino-1,1a,4,6a,7,7a-hexahydro-4-(3-hydroxytricyclo [3.3.1.13,7] dec-1-yl)-3H-Cyclopropa[4,5]pyrrolo[1,2-a]pyrazin-3-one
-Isomer.png)
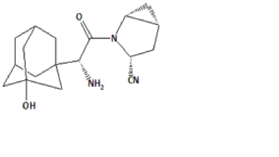
| Product Code: SXN/1003 | Molecular Formula: C18H25N3O2 |
| CAS Number: 1564265-95-7 | Molecular Weight: 315.41 |
Synonyms: (1R,3R,5R)-2-[(2R)-2-Amino-2-(3-hydroxy-1-adamantyl)acetyl]-2-azabicyclo [3.1.0] hexane-3-carbonitrile