
| Product Code: DH/TMN/1003 | Molecular Formula: C37H38N4O2 |
| CAS Number: 144702-26-1 | Molecular Weight: 570.72 |
Synonyms: 2-(4-{[4-Methyl-6-(1-methyl-1H-1,3-benzodiazol-2-yl)-2-propyl-1H-1,3-benzodiazol-1-yl] methyl}phenyl)benzoic acid t-butyl ester

| Product Code: DH/TMN/1004 | Molecular Formula: C26H24N2O4 |
| CAS Number: 884330-12-5 | Molecular Weight: 428.48 |
Synonyms: 6-Des(1-methyl-2-benzimidazolyl)-6-carboxy Telmisartan

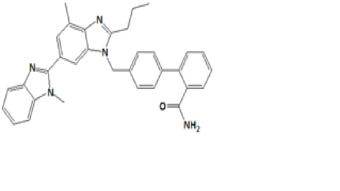
| Product Code: DH/TMN/1005 | Molecular Formula: C33H31N5O |
| CAS Number: 915124-86-6 | Molecular Weight: 513.63 |
Synonyms: 2-(4-{[4-Methyl-6-(1-methyl-1H-1,3-benzodiazol-2-yl)-2-propyl-1H-1,3-benzodiazol-1-yl] methyl}phenyl)benzamide

| Product Code: DH/TMN/1008 | Molecular Formula: C26H24N2O4 |
| CAS Number: NA | Molecular Weight: 428.48 |
Synonyms: 1-[(2’-Carboxy[1,1’-biphenyl]-4-yl)methyl]-4-methyl-2-propyl-1H-benzimidazole-6-carboxylic Acid;

| Product Code: DH/TZN/1003 | Molecular Formula: C10H10ClN3O2 |
| CAS Number: 23680-84-4 | Molecular Weight: 239.66 |
Synonyms: 4-Amino-2-chloro-6,7-dimethoxyquinazoline