
| Product Code: DH/TGR/1003 | Molecular Formula: C23H28F2N6O5S |
| CAS Number: 1644461-85-7 | Molecular Weight: 538.57 |
Synonyms: (1S,2S,3R,5S)-3-[7-[(1R,2S)-2-(3,4-Difluorophenyl)cyclopropylamino]-5-(propylsulfinyl)- 3H-[1,2,3]triazolo[4,5-d]pyrimidin-3-yl]-5-(2-hydroxyethoxy) cyclopentane-1,2-diol.
-Epimer.png)
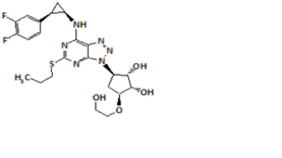
| Product Code: DH/TGR/1004 | Molecular Formula: C23H28F2N6O4S |
| CAS Number: NA | Molecular Weight: 522.57 |
Synonyms: (1S,2S,3R,5S)-3-[7-[(1S,2S)-2-(3,4-Difluorophenyl)cyclopropylamino]-5-(propylsulfanyl)- 3H-[1,2,3]triazolo[4,5-d]pyrimidin-3-yl]-5-(2-hydroxyethoxy) cyclopentane-1,2-diol.
-Epimer.png)
| Product Code: DH/TGR/1005 | Molecular Formula: C23H28F2N6O4S |
| CAS Number: NA | Molecular Weight: 522.57 |
Synonyms: : (1S,2S,3R,5S)-3-[7-[(1R,2R)-2-(3,4-Difluorophenyl)cyclopropylamino]-5-(propylsulfanyl)- 3H-[1,2,3]triazolo[4,5-d]pyrimidin-3-yl]-5-(2-hydroxyethoxy) cyclopentane-1,2-diol

| Product Code: DH/TMD/1003 | Molecular Formula: C15H25NO2 |
| CAS Number: 152538-36-8 | Molecular Weight: 263.38 |
Synonyms: (+/-)-trans-2-[(dimethylamino)methyl]-1-(3-methoxyphenyl) cyclohexanol

| Product Code: DH/TMD/1002 | Molecular Formula: C16H23NO |
| CAS Number: 73825-64-6 | Molecular Weight: 245.36 |
Synonyms: [2-(3-Methoxyphenyl)cyclohex-1-enyl]-N ,N-dimethylmethanamine