
| Product Code: DH /ATV/1025 | Molecular Formula: C34H37FN2O5 |
| CAS Number: 345891-62-5 | Molecular Weight: 572.67 |
Synonyms: (3R,5R)-7-[3-(Phenylcarbamoyl)-5-(4-fluorophenyl)-2-isopropyl-4-phenyl-1H-pyrrol-1-yl]-3,5-dihydroxyheptanoic acid methyl ester

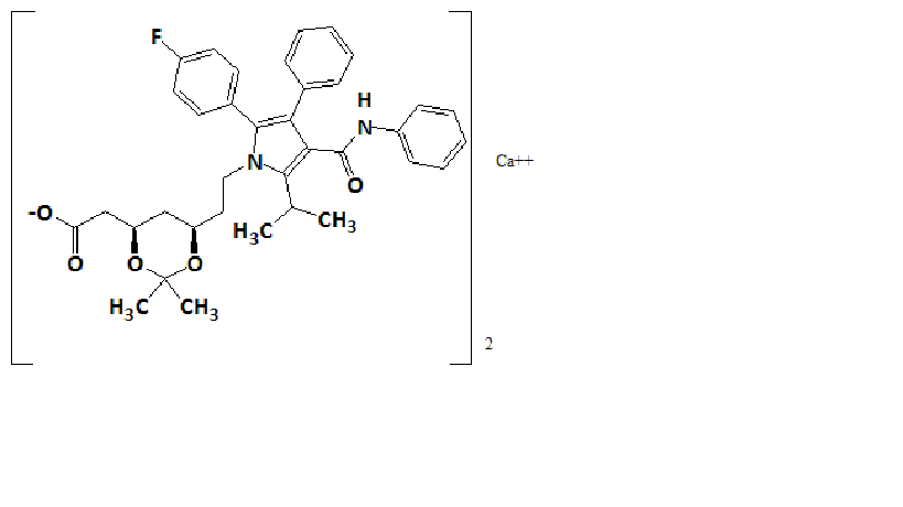
| Product Code: DH /ATV/1006 | Molecular Formula: C66H66F4N4O10 |
| CAS Number: 581772-29-4 (Free Base) | Molecular Weight: NA |
Synonyms: Calcium(4R,6R)-6-[2-[2-(4-Fluorophenyl)-5-(1-methylethyl)-3-phenyl-4-[(phenylamino)carbonyl]-1H-pyrrol-1-yl]ethyl]-2,2-dimethyl-1,3-dioxane-4-acetate

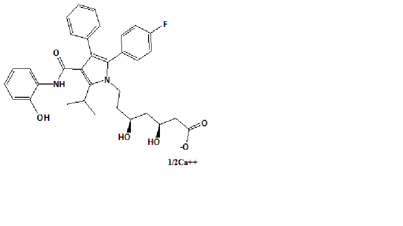
| Product Code: DH /ATV/1028 | Molecular Formula: C66H68F2N4O12.Ca |
| CAS Number: 265989-46-6 | Molecular Weight: 613.73 |
Synonyms: (3R,5R)-7-[3-(2-Hydroxyphenylcarbamoyl)-5-(4-fluorophenyl)-2-isopropyl-4-phenyl-1H-pyrrol-1-yl]-3,5-dihydroxyheptanoic acid Calcium salt

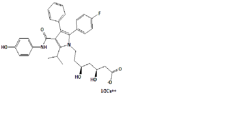
| Product Code: DH /ATV/1029 | Molecular Formula: C66H68F2N4O12.Ca |
| CAS Number: 265989-44-4 | Molecular Weight: 613.73 |
Synonyms: (3R,5R)-7-[3-(4-Hydroxyphenylcarbamoyl)-5-(4-fluorophenyl)-2-isopropyl-4-phenyl-1H-pyrrol-1-yl]-3,5-dihydroxyheptanoic acid Calcium salt

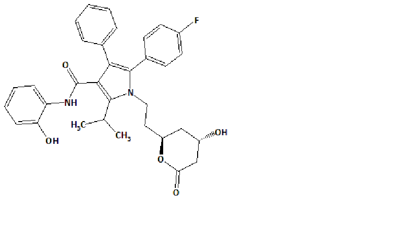
| Product Code: DH /ATV/1030 | Molecular Formula: C33H33FN205 |
| CAS Number: 163217-74-1 | Molecular Weight: 556.62 |
Synonyms: 5-(4-Fluorophenyl)-N-(2-hydroxyphenyl)-2-(1-methylethyl)-4-phenyl-1-[2-[(2R,4R)-tetrahydro-4-hydroxy-6-oxo-2H-pyran-2-yl]ethyl]-1H-pyrrole-3-carboxamide