
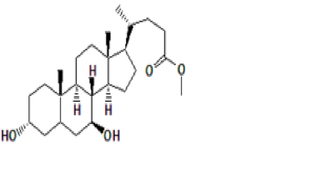
| Product Code: DH/UDC/1007 | Molecular Formula: C25H42O4 |
| CAS Number: 10538-55-3 | Molecular Weight: 406.6 |
Synonyms: Methyl 3alpha,7beta-dihydroxy-5beta-cholan-24-oate

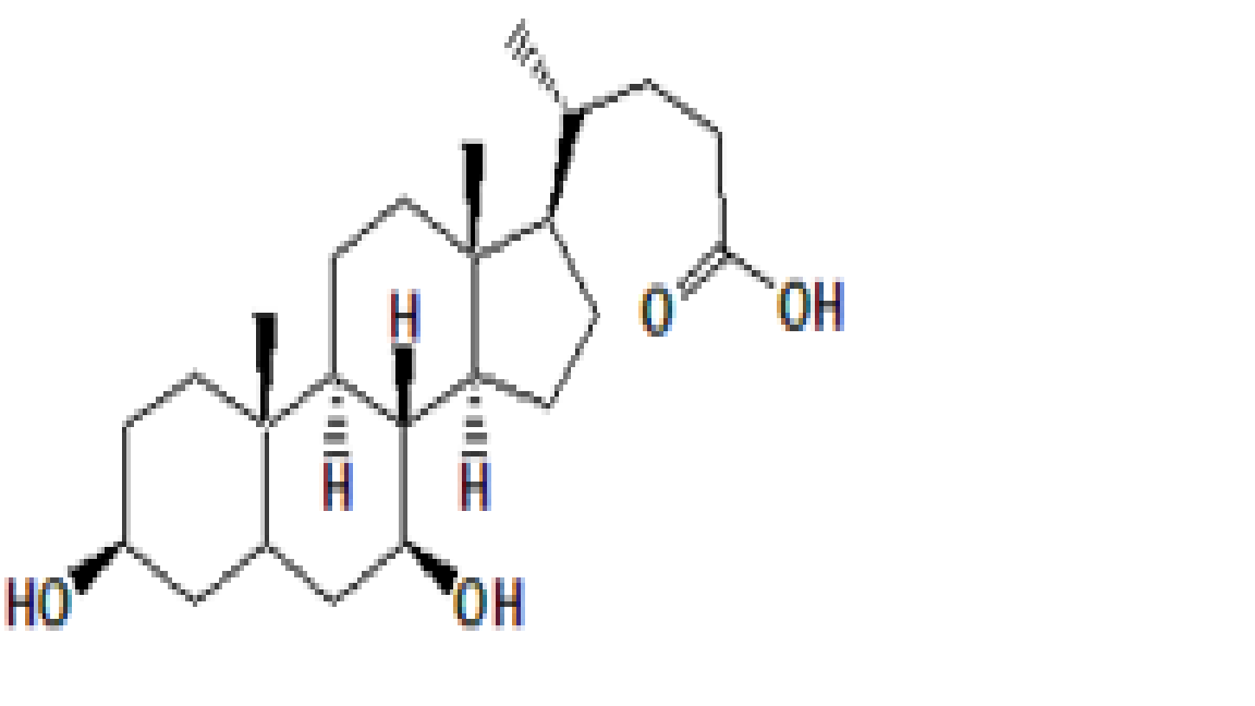
| Product Code: DH/UDC/1008 | Molecular Formula: C24H40O4 |
| CAS Number: 78919-26-3 | Molecular Weight: 392.57 |
Synonyms: 3beta,7beta-Dihydroxy-5beta-cholan-24-oic acid

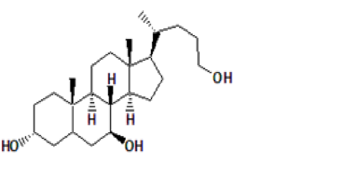
| Product Code: DH/UDC/1009 | Molecular Formula: C24H42O3 |
| CAS Number: 130593-75-8 | Molecular Weight: 378.59 |
Synonyms: 5beta-Cholane-3alpha,7beta,24-triol ;

| Product Code: DH/VLC/1012 | Molecular Formula: C5H5N5O |
| CAS Number: 73-40-5 | Molecular Weight: 151.13 |
Synonyms: 2-amino-1,9-dihydro-6H-purin-6-one

| Product Code: DH/VLC/1010 | Molecular Formula: C8H11N5O3 |
| CAS Number: 59277-89-3 | Molecular Weight: 225.20 |
Synonyms: 2-amino-9-[(2-hydroxyethoxy)methyl]-1,9-dihydro-6H-purin-6-one