
| Product Code: DH/ZLM/1002 | Molecular Formula: C13H19N3O |
| CAS Number: 139264-69-0 | Molecular Weight: 233.31 |
Synonyms: (S)-2-Amino-3-{3-[2-(dimethylamino)ethyl]-1H-indol-5-yl}propan-1-ol

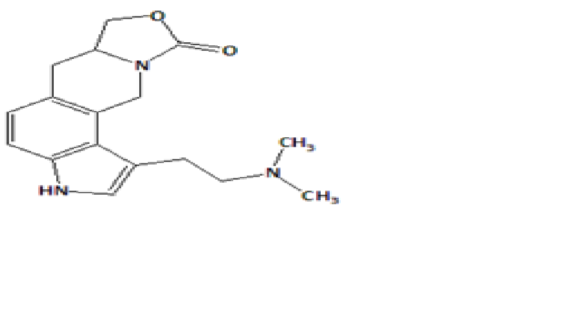
| Product Code: DH/ZLM/1007 | Molecular Formula: C17H21N3O2 |
| CAS Number: NA | Molecular Weight: 299.37 |
Synonyms: 1-[2-(Dimethylamino)ethyl]-6,6a,7,11-tetrahydrooxazolo[3,4-b]pyrrolo[2,3-h]isoquinolin-9(3H)-one

| Product Code: DH/ZLM/1006 | Molecular Formula: C19H25N3O4 |
| CAS Number: 191864-24-1 | Molecular Weight: 359.42 |
Synonyms: (S)-Ethyl 3-[2-(dimethylamino)ethyl]-5-[(2-oxooxazolidin-4-yl)methyl]-1H-indole-2-carboxylate
.png)
| Product Code: DH/ZLM/1001 | Molecular Formula: C16H21N3O3 |
| CAS Number: 251451-30-6 | Molecular Weight: 303.36 |
Synonyms: (4S)-4-[[3-[2-(Dimethyloxidoamino)ethyl]-1H-indol-5-yl]methyl-2-oxazolidinone

| Product Code: DH/ZLM/1004 | Molecular Formula: C16H21N3O2 |
| CAS Number: 139264-24-7 | Molecular Weight: 287.36 |
Synonyms: (R)-4-({3-[2-(Dimethylamino)ethyl]indol-5-yl}methyl)oxazolidin-2-one