
| Product Code: DH /BPN/1001 | Molecular Formula: C13H19Cl2NO |
| CAS Number: 1049718-72-0 | Molecular Weight: 276.20 |
Synonyms: 2-(tert-Butylamino)-1-(4-chlorophenyl)propan-1-one hydrochloride

| Product Code: DH /BPN/1002 | Molecular Formula: C13H19BrClNO |
| CAS Number: 1049718-43-5 | Molecular Weight: 320.65 |
Synonyms: 2-(tert-Butylamino)-1-(3-bromophenyl)propan-1-one hydrochloride

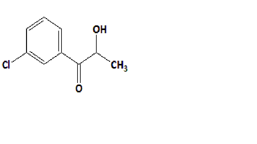
| Product Code: DH /BPN/1003 | Molecular Formula: C9H9ClO2 |
| CAS Number: 152943-33-4 | Molecular Weight: 184.62 |
Synonyms: 1-(3-Chlorophenyl)-2-hydroxy-1-propanone

| Product Code: DH /BPN/1004 | Molecular Formula: C13H20ClNO |
| CAS Number: 63199-74-6 | Molecular Weight: 241.76 |
Synonyms: 2-(tert-Butylamino)propiophenone hydrochloride

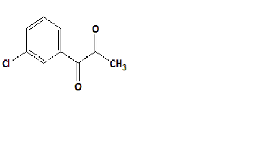
| Product Code: DH /BPN/1005 | Molecular Formula: C9H7ClO2 |
| CAS Number: 10557-17-2 | Molecular Weight: 182.6 |
Synonyms: 1-(3-Chlorophenyl)-1,2-propanedione