
| Product Code: DH /CNT/1009 | Molecular Formula: C25H22N6O3 |
| CAS Number: 139481-69-9 | Molecular Weight: 454.48 |
Synonyms: 2-Ethoxy-1-[[2-[1-(triphenylmethyl)-1H-tetrazol-5-yl][1,1?-biphenyl]-4-yl]methyl]-1H-benzimidazole-7-carboxylic acid methyl ester.

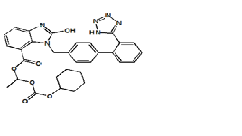
| Product Code: DH / CNT/1002 | Molecular Formula: C31H30N6O6 |
| CAS Number: 869631-11-8 | Molecular Weight: 582.61 |
Synonyms: 1-(Cyclohexyloxycarbonyloxy)ethyl 1-((2'-(1H-tetrazol-5-yl)biphenyl-4-yl) methyl)-2-
hydroxy-1H-benzo[d]imidazole-7-carboxylate

| Product Code: DH / CNT/1005 | Molecular Formula: C35H38N6O6 |
| CAS Number: 914613-35-7 | Molecular Weight: 638.71 |
Synonyms: 2-Ethoxy-1-[[2'-[1-ethyl-1H-tetrazol-5-yl][1,1'-biphenyl]-4-yl]methyl]-1H-benzimidazole-7-carboxylic acid 1-[[(cyclohexyloxy) carbonyl]oxy]ethyl ester

| Product Code: DH / CNT/1006 | Molecular Formula: C35H38N6O6 |
| CAS Number: 914613-36-8 | Molecular Weight: 638.71 |
Synonyms: 2-Ethoxy-1-[[2'-[2-ethyl-1H-tetrazol-5-yl][1,1'-biphenyl]-4-yl]methyl]-1H-benzimidazole-7-carboxylic acid 1-[[(cyclohexyloxy) carbonyl]oxy]ethyl ester.

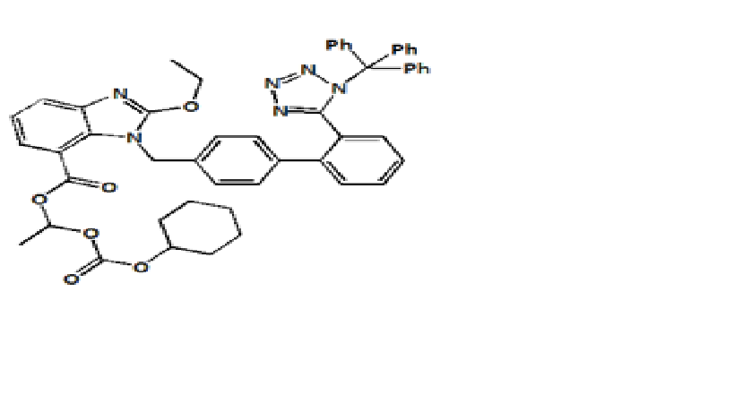
| Product Code: DH / CNT/1008 | Molecular Formula: C52H48N6O6 |
| CAS Number: 170791-09-0 | Molecular Weight: 852.97 |
Synonyms: 2-Ethoxy-1-[[2'-[1-(triphenylmethyl)-1H-tetrazol-5-yl][1,1'-biphenyl]-4-yl]methyl]-1H-benzimidazole-7-carboxylic acid 1-[[(cyclohexyloxy) carbonyl]oxy]ethyl ester