
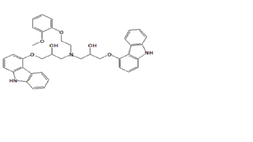
| Product Code: DH / CVD/1002 | Molecular Formula: C39H39N3O6 |
| CAS Number: 918903-20-5 | Molecular Weight: 645.74 |
Synonyms: (3,3'-(2-(2-Methoxyphenoxy)ethylazanediyl)bis(1-(9H-carbazol-4-yloxy)propan-2-ol))

| Product Code: DH /CVD/1002 | Molecular Formula: C39H39N3O6 |
| CAS Number: 918903-20-5 | Molecular Weight: 645.74 |
Synonyms: (3,3'-(2-(2-Methoxyphenoxy)ethylazanediyl)bis(1-(9H-carbazol-4-yloxy)propan-2-ol))

| Product Code: DH /CFR/1001 | Molecular Formula: C8H9NO2 |
| CAS Number: 875-74-1 | Molecular Weight: 151.16 |
Synonyms: (2R)-(-)-2-Amino-2-phenylacetic acid

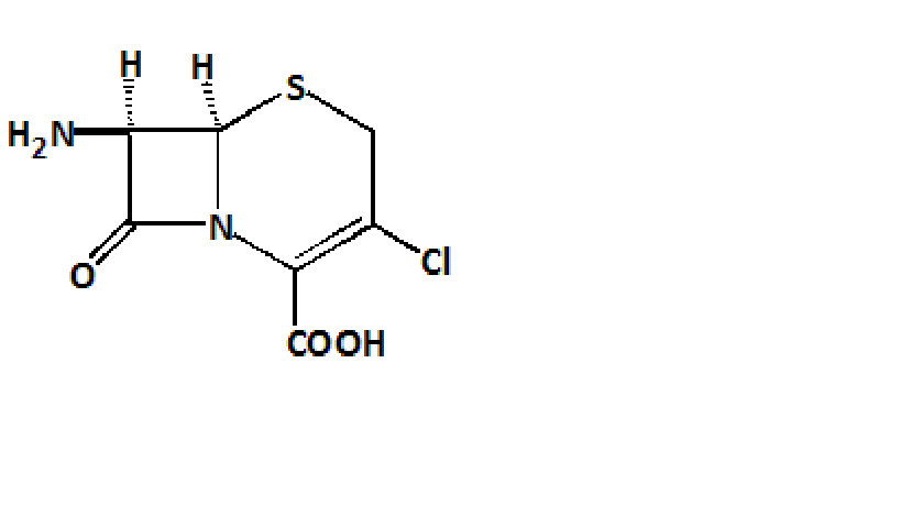
| Product Code: DH /CFR/1002 | Molecular Formula: C7H7ClN2O3S |
| CAS Number: 53994-69-7 | Molecular Weight: 234.66 |
Synonyms: (6R,7R)-7-Amino-3-chloro-8-oxo-5-thia-1-azabicyclo[4.2.0]oct-2-ene-2-carboxylic acid

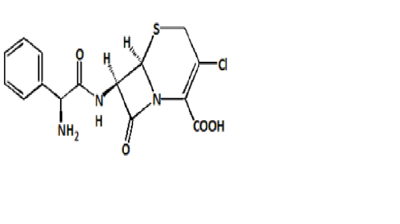
| Product Code: DH /CFR/1003 | Molecular Formula: C15H14ClN3O4S |
| CAS Number: N/A | Molecular Weight: 367.81 |
Synonyms: (6R,7R)-7-[[(2S)-2-amino-2-phenylacetyl]amino]-3-chloro-8-oxo-5-thia-1-azabicyclo[4.2.0]oct-2-ene-2-carboxylic acid