
| Product Code: DH / ALB/1007 | Molecular Formula: C13H17N3O2S |
| CAS Number: 139751-05-6 | Molecular Weight: 279.36 |
Synonyms: Ethyl [5-(propylsulfanyl)-1H-benzimidazol-2-yl]carbamate

| Product Code: DH / ALB/1008 | Molecular Formula: C9H8ClN3O2 |
| CAS Number: 20367-38-8 | Molecular Weight: 225.63 |
Synonyms: Methyl (5-chloro-1H-benzimidazol-2-yl)carbamate

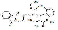
| Product Code: DH/ADP/1001 | Molecular Formula: C28H27ClN2O |
| CAS Number: 88150-62-3 | Molecular Weight: 538.98 |
Synonyms: 3-Ethyl 5-methyl (4RS)-4-(2-chlorophenyl)-2-[[2-(1,3-dioxo-1,3-dihydro-2H-isoindol-2-yl)ethoxy]methyl]-6-methyl-1,4-dihydropyridine-3,5-dicarboxylate

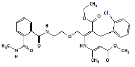
| Product Code: DH/ADP/1002 | Molecular Formula: C29H32ClN3O7 |
| CAS Number: 721958-72-1 | Molecular Weight: 570.03 |
Synonyms: 3-Ethyl 5-methyl 4-(2-chlorophenyl)-6-methyl-2-[[2- [[2-(methylcarbamoyl)benzoyl]amino]ethoxy]methyl]-1,4- dihydropyridine-3,5-dicarboxylate

| Product Code: DH/ADP/1003 | Molecular Formula: C22H30ClN3O6 |
| CAS Number: 721958-74-3 | Molecular Weight: 467.94 |
Synonyms: Ethyl methyl 2,6-bis[(2-aminoethoxy)methyl]-4-(2- chlorophenyl)-1,4-dihydropyridine-3,5-dicarboxylate