
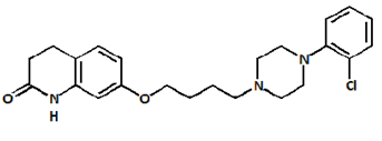
| Product Code: DH / ARP/1018 | Molecular Formula: C23H28ClN3O2 |
| CAS Number: 203395-81-7 | Molecular Weight: 413.94 |
Synonyms: 7-[4-[4-(2-Chlorophenyl)piperizin-1-yl]butoxy]-3,4-dihydroquinolin-2(1H)-one; Aripiprazole EP Impurity C

| Product Code: DH / ARP/1009 | Molecular Formula: C23H28ClN3O2 |
| CAS Number: 203395-82-8 | Molecular Weight: 413.94 |
Synonyms: 7-[4-[4-(3-Chlorophenyl)piperizin-1-yl]butoxy]-3,4-dihydroquinolin-2(1H)-one;Aripiprazole EP

| Product Code: DH / ARP/1022 | Molecular Formula: C23H27Cl2N3O2 |
| CAS Number: 203395-75-9 | Molecular Weight: 448.38 |
Synonyms: 7-(4-(4-(3,4-Dichlorophenyl)piperizin-1-yl]butoxy]-3,4dihydroquinolin-2(1H)-one
.png)
| Product Code: DH / ARP/1003 | Molecular Formula: C22H24N2O4 |
| CAS Number: 882880-12-8 | Molecular Weight: 380.44 |
Synonyms: 1,4-bis[(3,4-Dihydro-2(1H)-quinolinone-7-yl)oxy]-butane

| Product Code: DH / ARP/1007 | Molecular Formula: C13H16BrNO2 |
| CAS Number: 129722-34-5 | Molecular Weight: 298.18 |
Synonyms: 7-(4-Bromobutoxy)-3,4-dihydroquinolin-2-one