
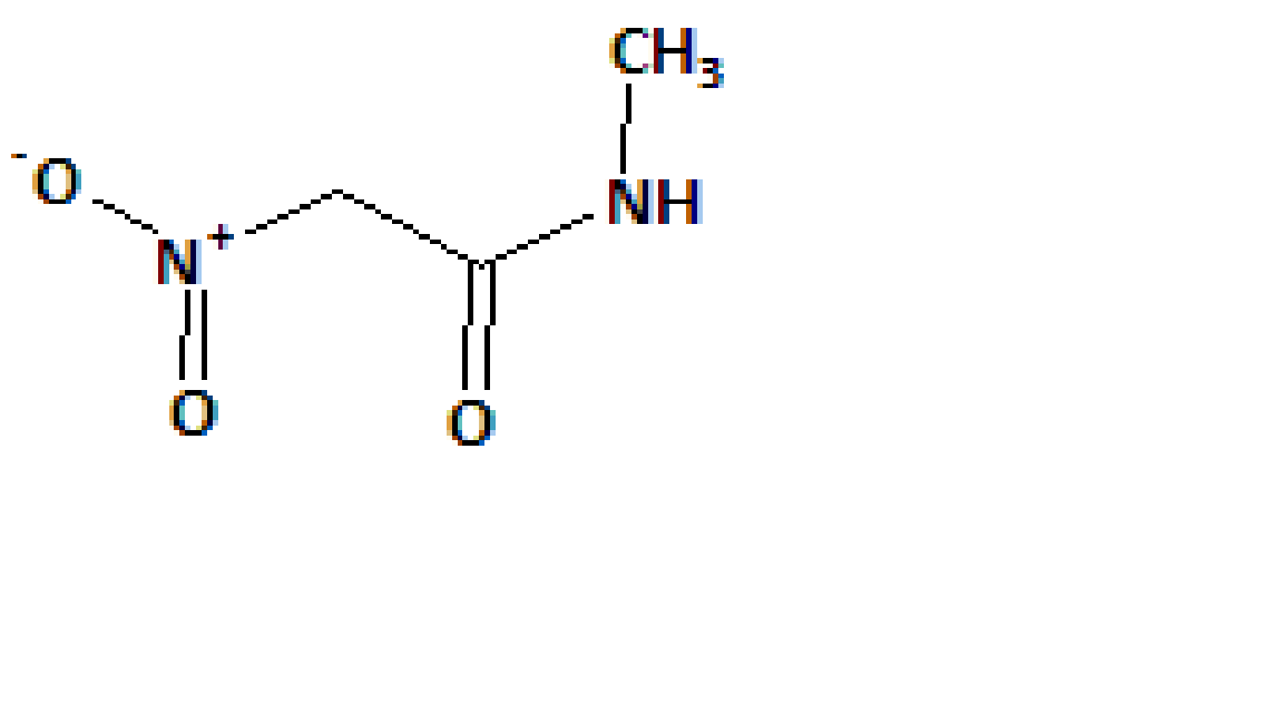
| Product Code: DH/RTD/1006 | Molecular Formula: C3H6N2O3 |
| CAS Number: 72078-82-1 | Molecular Weight: 118.09 |
Synonyms: N-Methyl-2-nitlnitroacetamide

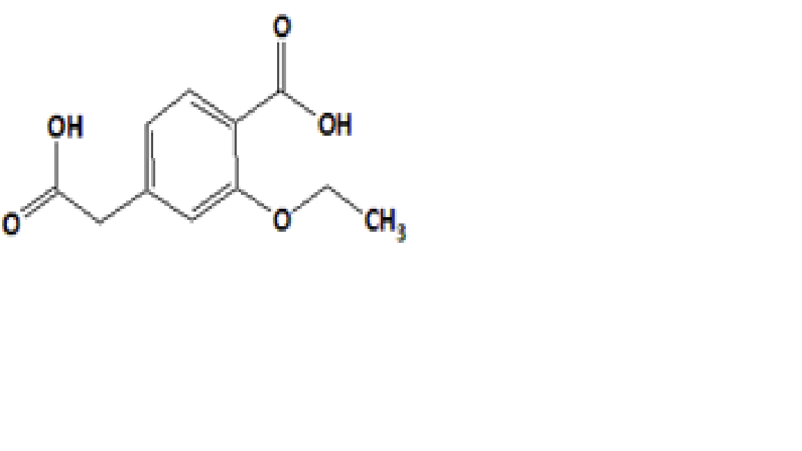
| Product Code: DH/RPG/1001 | Molecular Formula: C11H12O5 |
| CAS Number: 220438-80-2 | Molecular Weight: 224.21 |
Synonyms: 4-(Carboxymethyl)-2-ethoxybenzoic acid

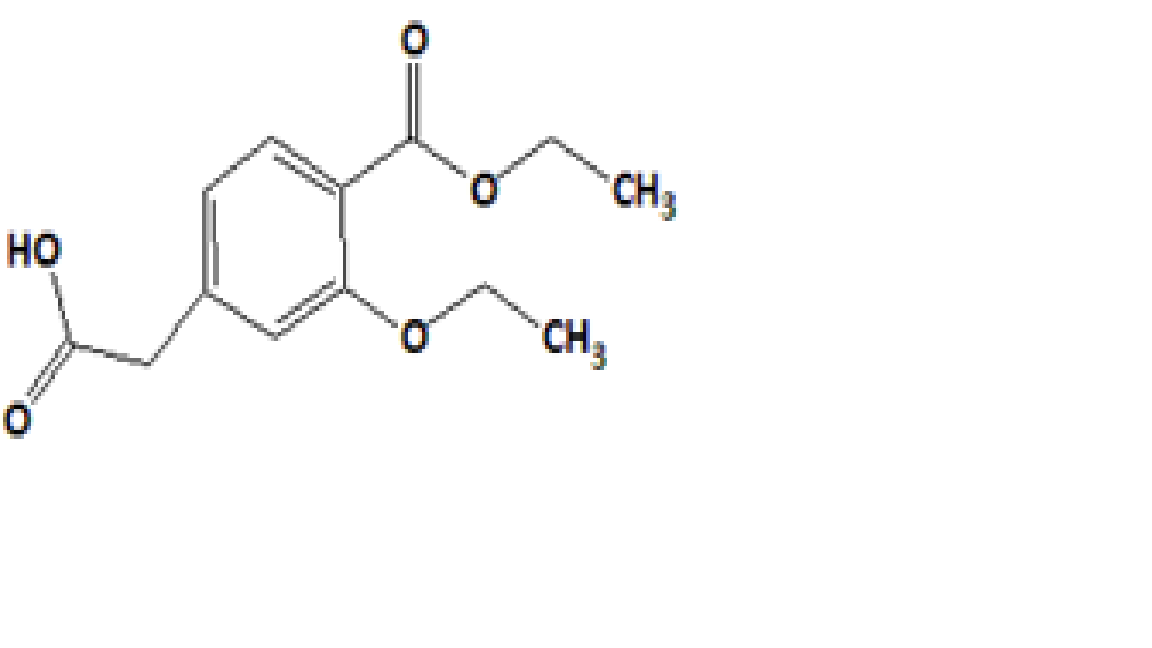
| Product Code: DH/RPG/1002 | Molecular Formula: C13H16O5 |
| CAS Number: 99469-99-5 | Molecular Weight: 252.26 |
Synonyms: [3-Ethoxy-4-(ethoxycarbonyl)phenyl]acetic acid

| Product Code: DH/RPG/1003 | Molecular Formula: C16H26N2 |
| CAS Number: NA | Molecular Weight: 246.39 |
Synonyms: (1S)-3-Methyl-1-[2-(piperidin-1-yl)phenyl]butan-1-amine

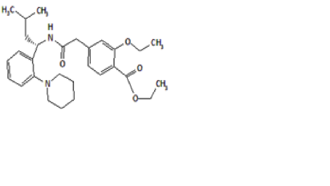
| Product Code: DH/RPG/1004 | Molecular Formula: C29H40N2O4 |
| CAS Number: 147770-06-7 | Molecular Weight: 480.64 |
Synonyms: Ethyl 2-ethoxy-4-[2-[[(1S)-3-methyl-1-[2-(piperidin-1-yl)phenyl] butyl] amino]-2-oxoethyl]benzoate