
| Product Code: DH/RZT/1010 | Molecular Formula: C15H19N5 |
| CAS Number: 208941-96-2 | Molecular Weight: 269.35 |
Synonyms: N,N-Dimethyl-2-[5-(1H-1,2,4-trizol-1-ylmethyl)-1H-indol-2-yl)ethanamine

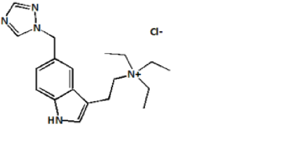
| Product Code: DH/RZT/1002 | Molecular Formula: C19H28N5Cl |
| CAS Number: N/A | Molecular Weight: 361.91 |
Synonyms: N,N,N-triethyl-2-[5-(1H-1,2,4-triazol-1-yl methyl)-1H-indol-3-yl]ethanaminium chloride

| Product Code: DH/RZT/1004 | Molecular Formula: C16H21N5O2S |
| CAS Number: N/A | Molecular Weight: 347.44 |
Synonyms: N,N-dimethyl-2-[1-(methylsulfonyl)-5-(1H-1,2,4-triazol-1-ylmethyl)-1H-indol-3-yl]ethanamine,

| Product Code: DH/RZT/1013 | Molecular Formula: C13H14N4O |
| CAS Number: N/A | Molecular Weight: 242.28 |
Synonyms: 2-[5-(1H-1,2,4-trizol-1-ylmethyl)-1H-indol-3-yl)ethanol

| Product Code: DH/RZT/1009 | Molecular Formula: C13H13ClN4 |
| CAS Number: 1000673-59-5 | Molecular Weight: 260.72 |
Synonyms: 3-(2-Chloroethyl)-5-(1H-1,2,4-trizol-1-ylmethyl)-1H-indole