
| Product Code: DH/RZT/1016 | Molecular Formula: C14H17N5 |
| CAS Number: 144034-84-4 | Molecular Weight: 255.32 |
Synonyms: N-Methyl-2-[5-(1H-1,2,4-trizol-1-ylmethyl)-1H-indol-3-yl)ethan-1-amine

| Product Code: DH/RZT/1015 | Molecular Formula: C13H15N5 |
| CAS Number: 144035-23-4 | Molecular Weight: 241.29 |
Synonyms: 5-(1H-1,2,4-Triazol-1-ylmethyl)-1H-indole-3-ethanamine

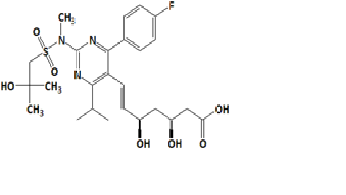
| Product Code: DH/RSV/1001 | Molecular Formula: C25H34FN3O7S |
| CAS Number: N/A | Molecular Weight: 539.61 |
Synonyms: (3R,5S,6E)-7-[4-(4-Fluorophenyl)-6-(1-methylethyl)-2-[methyl (2-hydroxy-2-methylpropylsulfonyl)amino]-5-pyrimidinyl]-3,5-dihydroxy- 6-heptenoic acid

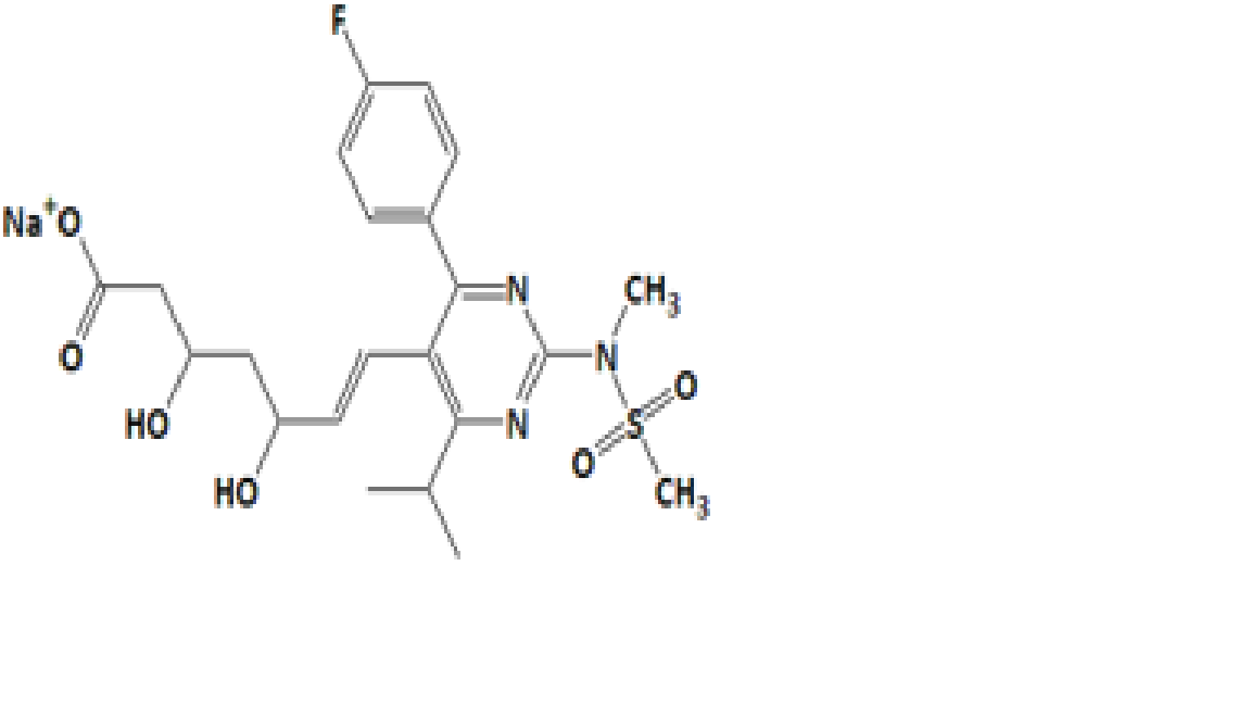
| Product Code: DH/RSV/1002 | Molecular Formula: C22H27FN3NaO6S |
| CAS Number: N/A | Molecular Weight: 503.52 |
Synonyms: (3RS,5RS,6E)-7-[4-(4-Fluorophenyl)-6-(1-methylethyl)-2-[methyl (methyl sulfonyl)amino]-5-pyrimidinyl]-3,5-dihydroxy- 6-heptenoic acid sodium salt

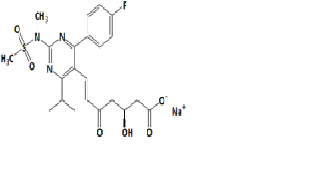
| Product Code: DH/RSV/1003 | Molecular Formula: C22H25FN3NaO6S |
| CAS Number: N/A | Molecular Weight: 501.50 |
Synonyms: Sodium (3R,6E)-7-[4-(4-fluorophenyl)-2-(N-methylmethanesulfonamido)-6-(propan-2-yl)pyrimidin-5-yl]-3-hydroxy-5-oxo-hept-6-enoate