
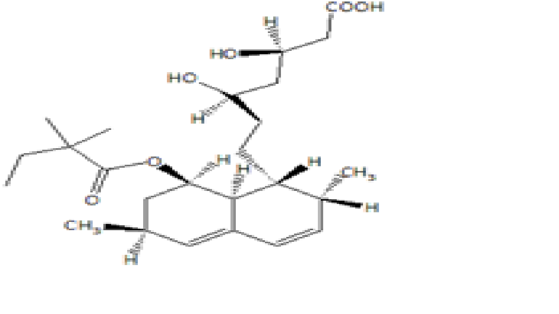
| Product Code: DH/SMV/1005 | Molecular Formula: C25H40O6 |
| CAS Number: N/A | Molecular Weight: 436.58 |
Synonyms: (3R,5R)-7-(1S,2S,6R,8S,8aR)-8-[(2,2-Dimethylbutanoyl)-oxy]-2,6-dimethyl-1,2,6,7,8,8a-hexahydronaphthalene-1-yl]-3,5-dihydroxyheptanoic acid

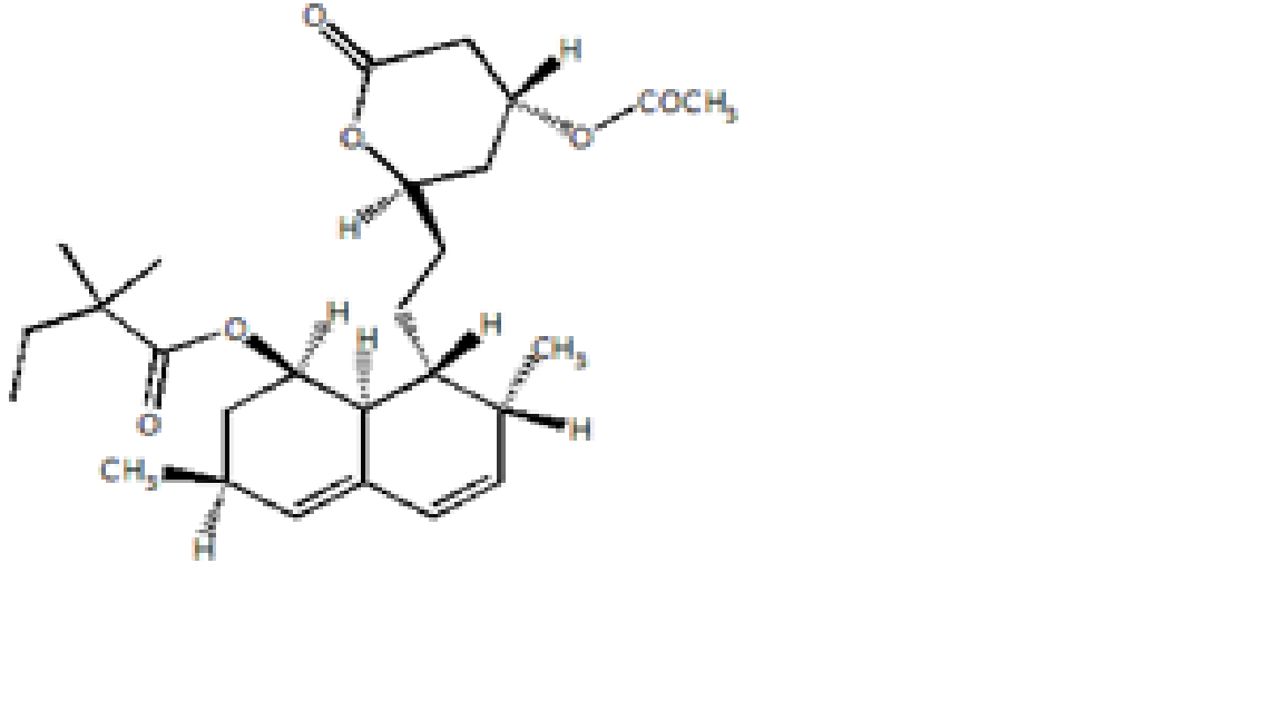
| Product Code: DH/SMV/1004 | Molecular Formula: C27H40O6 |
| CAS Number: 145576-25-6 | Molecular Weight: 460.60 |
Synonyms: (1S,3R,7S,8S,8aR)-8-[2-[(2R,4R)-4-(Acetyloxy)-6-oxotetrahydro-2H-pyran-2-yl]ethyl]-3,7-dimethyl-1,2,3,7,8,8a-hexahydronaphthalene-1-yl-2,2-dimethyl butanoate

| Product Code: DH/SMV/1001 | Molecular Formula: C25H36O4 |
| CAS Number: 210980-68-0 | Molecular Weight: 400.55 |
Synonyms: (1S,3R,7S,8S,8aR)-3,7-Dimethyl-8-[2-[(2R)-6-oxo-3,6-dihydro-2H-pyran-2-yl]ethyl]-1,2,3,7,8,8a-hexahydronaphthalene-1-yl-2,2-dimethyl butanoate

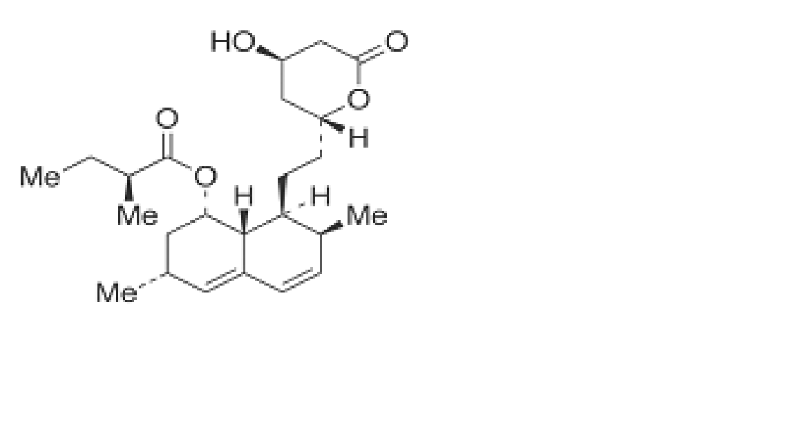
| Product Code: DH/SMV/1003 | Molecular Formula: C24H36O5 |
| CAS Number: 75330-75-5 | Molecular Weight: 404.54 |
Synonyms: (1S,3R,7S,8S,8aR)-8-[2-[(2R,4R)-4-Hydroxy-6-oxotetrahydro-2H-pyran-2-yl]ethyl]-3,7-dimethyl-1,2,3,7,8,8a-hexahydronaphthalene-1-yl(2S)-2-methyl butanoate

| Product Code: DH/SMV/1007 | Molecular Formula: C24H36O5 |
| CAS Number: 79952-44-6 | Molecular Weight: 404.54 |
Synonyms: 2R)-2-Methylbutanoic Acid (1S,3R,7S,8S,8aR)-1,2,3,7,8, 8a-Hexahydro-3,7-
dimethyl-8-[2-[(2R,4R)-tetrahydro-4-hydroxy-6-oxo-2H-pyran-2-yl]ethyl]-1-naphthalenyl Ester. Epi Lovastatin