
| Product Code: DH/SMV/1006 | Molecular Formula: C25H36O5 |
| CAS Number: 1449248-72-9 | Molecular Weight: 416.55 |
Synonyms: (1S,3R,7S,8S,8aR)-8-[2-[(2R,4R)-4-Hydroxy-6-oxotetrahydro-2H-pyran-2-yl]ethyl]-3,7-dimethyl-1,2,3,7,8,8a-hexahydronaphthalen-1-yl 2,2-dimethylbut-3-enoate.

| Product Code: DH/SS/1008 | Molecular Formula: C50H76O10 |
| CAS Number: 476305-24-5 | Molecular Weight: 837.13 |
Synonyms: (3R,5R)-((2R,4R)-2-(2-((1S,2S,6R,8S)-8-(2,2-Dimethylbutanoyloxy)-2,6-dimethyl-1,2,6,7,8,8a-hexahydronaphthalen-1-yl)ethyl)-6-oxo-tetrahydro-2H-pyran-4-yl) 7-((2S,6R,8S)-8-(2,2-dimethylbutanoyloxy)-2,6-dimethyl-1,2,6,7,8,8a-hexahydronaphthalen-1-yl)-3,5-dihydroxyheptanoate;Simvastatin Dimer Impurity

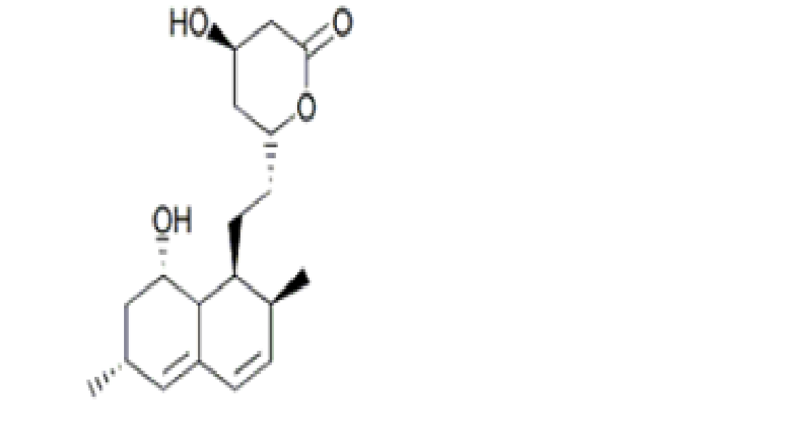
| Product Code: DH/SMV/1009 | Molecular Formula: C19H28O4 |
| CAS Number: 79952-42-4 | Molecular Weight: 320.42 |
Synonyms: 6(R)-[2-(8(S)-Hydroxy]-2(S),6(R)-dimethyl-1,2,6,7,8,8a(R) -hexahydro-1(S)-naphthyl]ethyl-4(R)-hydroxy-3,4,5,6-tetrahydro-2H-pyran-2-one;Lovastatin Lactone Diol; Simvastatin Lactone Diol.

| Product Code: DH/SMV/1010 | Molecular Formula: C23H34O5 |
| CAS Number: 79902-42-4 | Molecular Weight: 390.51 |
Synonyms: 2-Methylpropanoic acid [1S-[1α,3α,7β,8β(2S*,4S*),8aβ]] -1,2,3,7,8,8a-hexahydro-3,7-dimethyl-8-[2-(tetrahydro-4-hydroxy-6-oxo-2H-pyran-2-yl)ethyl]-1-naphthalenyl ester; Simvastatin Methylpropanoyl Analog.

| Product Code: DH/SMV/1011 | Molecular Formula: C26H40O5 |
| CAS Number: 864357-88-0 | Molecular Weight: 432.59 |
Synonyms: 2,2-Dimethylbutanoic acid (1S,3R,7S,8S,8aR)-1,2,3,7,8,8a-hexahydro-3,7-dimethyl-8-[2-[(2R,4R)-tetrahydro-4-methoxy -6-oxo-2H-pyran-2-yl]ethyl]-1-naphthalenyl ester; Simvastatin Methyl Ether;