
| Product Code: DH/TMD/1001 | Molecular Formula: C16H23NO |
| CAS Number: NA | Molecular Weight: 245.36 |
Synonyms: (1RS)-[2-(3-methoxyphenyl)cyclohex-2-enyl]-N,N-dimethylmethanamine

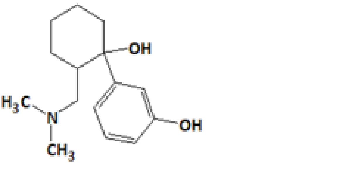
| Product Code: DH/TMD/1004 | Molecular Formula: C15H23NO2 |
| CAS Number: NA | Molecular Weight: 249.35 |
Synonyms: (1RS,2RS)-2-[(dimethylamino)methyl]-1-(3-hydroxyphenyl)cyclohexanol

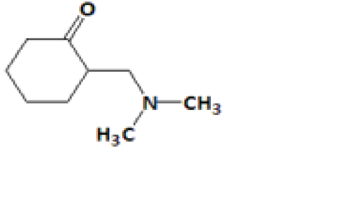
| Product Code: DH/TMD/1005 | Molecular Formula: C9H17NO |
| CAS Number: NA | Molecular Weight: 155.2 |
Synonyms: (2RS)-2-[(dimethylamino)methyl]cyclohexanone

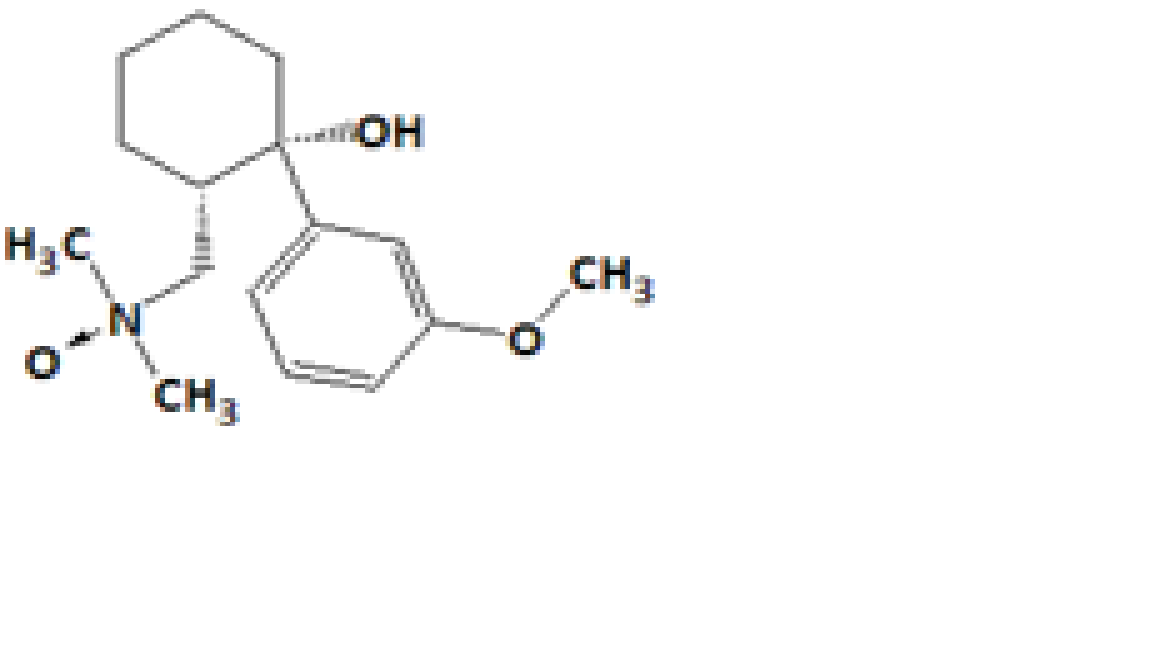
| Product Code: DH/TMD/1006 | Molecular Formula: C16H25NO3 |
| CAS Number: 147441-56-3 | Molecular Weight: 279.37 |
Synonyms: (1R,2R)-rel-2-[(Dimethyloxidoamino)methyl]-1-(3-methoxyphenyl)-cyclohexanol

| Product Code: DH/UDC/1001 | Molecular Formula: 474-25-9 |
| CAS Number: 474-25-9 | Molecular Weight: 392.57 |
Synonyms: 3alpha,7alpha-Dihydroxy-5beta-cholan-24-oic acid