
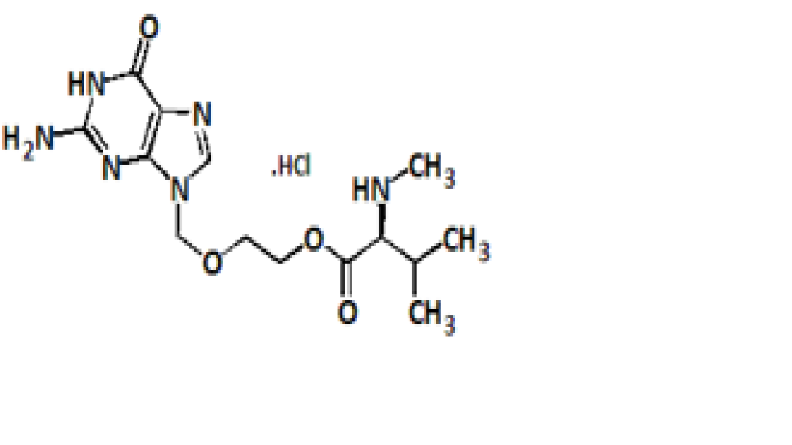
| Product Code: DH/VLC/1003 | Molecular Formula: C14H23ClN6O4 |
| CAS Number: NA | Molecular Weight: 374.82 |
Synonyms: 2-[(2-amino-6-oxo-1,6- dihydro-9H-purin-9-yl)methoxy]ethyl-N-methyl-L-valinate hydrochloride

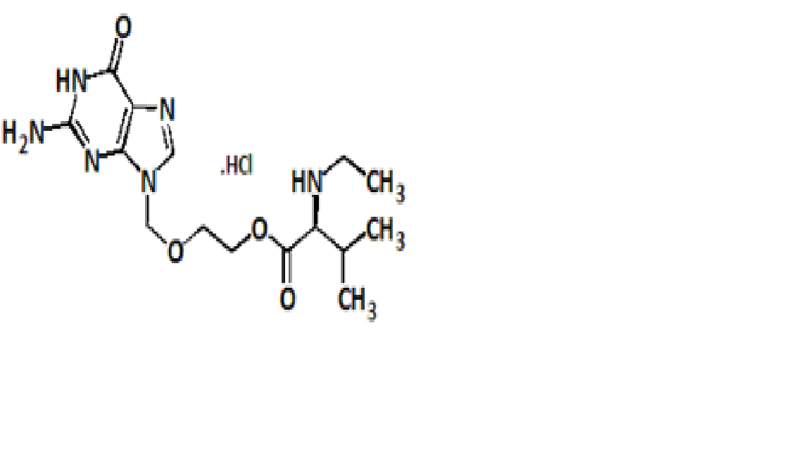
| Product Code: DH/VLC/1008 | Molecular Formula: C15H25ClN6O4 |
| CAS Number: 1346747-69-0 | Molecular Weight: 388.85 |
Synonyms: 2-[(2-amino-6-oxo-1,6- dihydro-9H-purin-9-yl)methoxy]ethyl-N-ethyl-L-valinate hydrochloride

| Product Code: DH/VLC/1016 | Molecular Formula: C21H26N6O6 |
| CAS Number: 124832-31-1 | Molecular Weight: 458.19 |
Synonyms: 2-[(2-amino-6-oxo-1,6- dihydro-9H-purin-9-yl)methoxy]ethyl-N-[(benzyloxy)carbonyl]-L-valinate

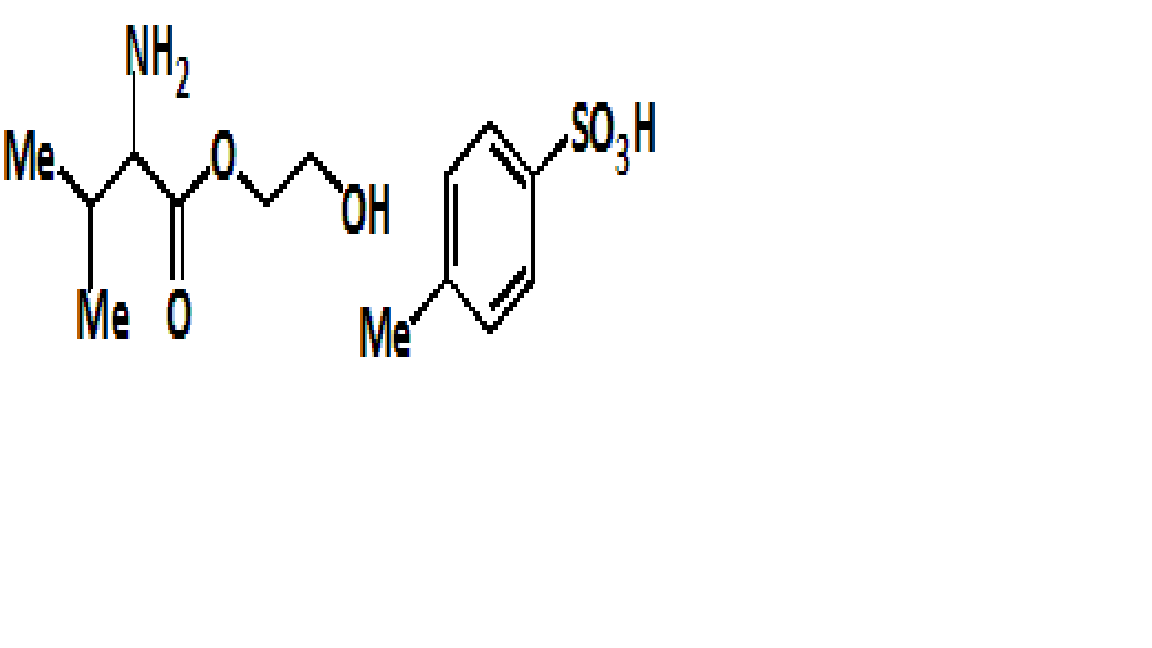
| Product Code: DH/VLC/1014 | Molecular Formula: C14H23NO6S |
| CAS Number: 86150-61-0 | Molecular Weight: 333.40 |
Synonyms: L-Valine 2-Hydroxyethyl Ester Tosylate

| Product Code: DH/VLC/1002 | Molecular Formula: C7H10N2 |
| CAS Number: 1122-58-3 | Molecular Weight: 122.17 |
Synonyms: N,N-Dimethyl(pyridin-4-yl)amine