
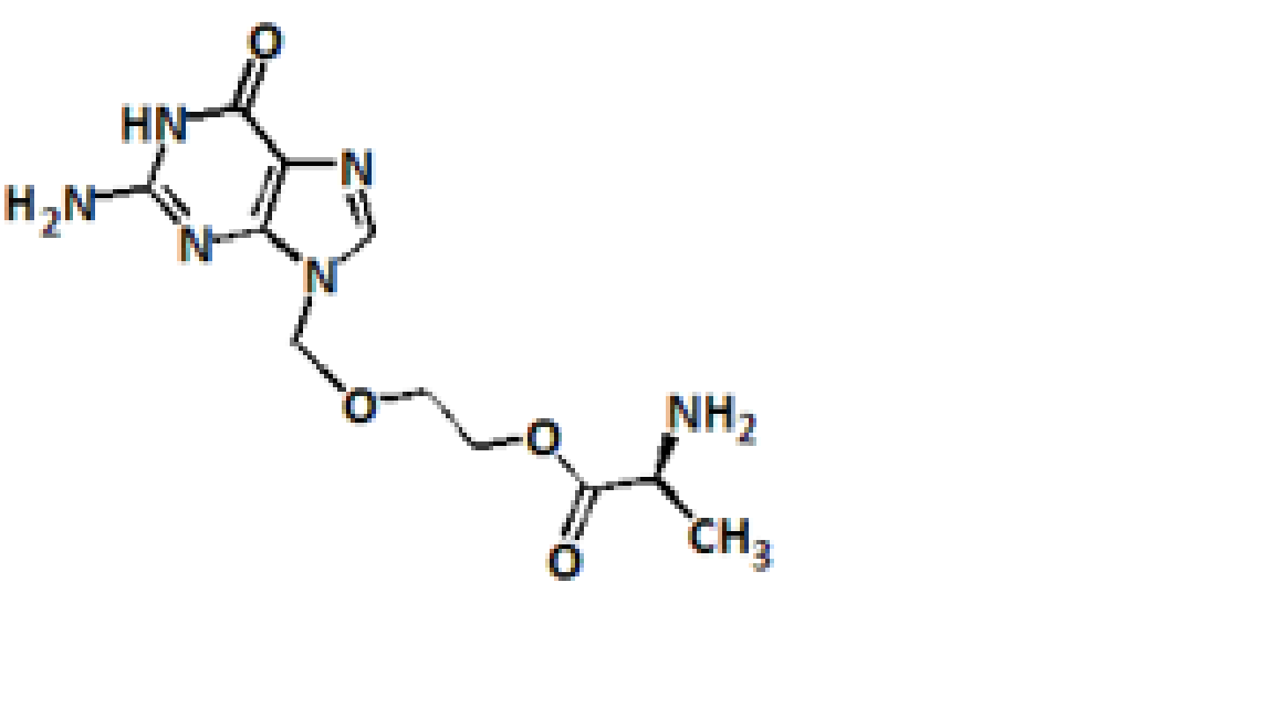
| Product Code: DH/VLC/1007 | Molecular Formula: C11H16N6O4 |
| CAS Number: NA | Molecular Weight: 296.28 |
Synonyms: 2-[(2-amino-6-oxo-1,6-dihydro-9H-purin-9-yl)methoxy]ethyl-L-alaninate

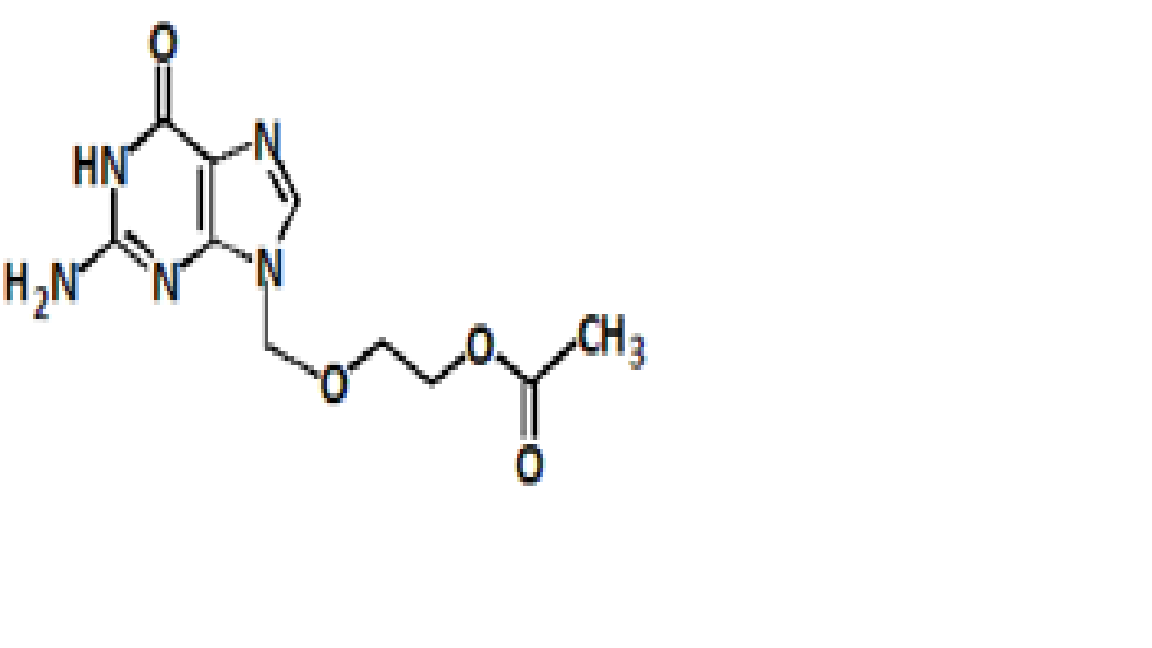
| Product Code: DH/VLC/1017 | Molecular Formula: C10H13N5O4 |
| CAS Number: 102728-64-3 | Molecular Weight: 267.24 |
Synonyms: 2-[(2-amino-6-oxo-1,6-dihydro-9H-purin-9-yl)methoxy]ethyl acetate

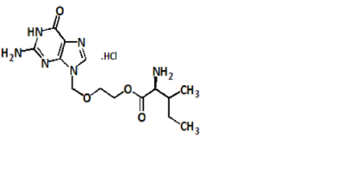
| Product Code: DH/VLC/1019 | Molecular Formula: C14H23ClN6O4 |
| CAS Number: 142963-63-1 | Molecular Weight: 374.82 |
Synonyms: 2-[[(2-amino-6-oxo-1,6-dihydro-9H-purin-9- yl)methoxy]oxyl]ethyl isoleucinate hydrochloride

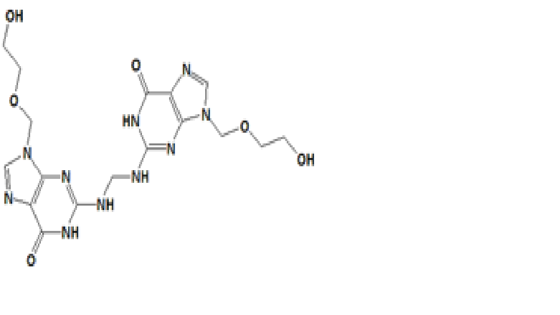
| Product Code: DH/VLC/1022 | Molecular Formula: C14H16N10O4 |
| CAS Number: NA | Molecular Weight: 388.34 |
Synonyms: 9-[(2-Hydroxyethoxy)methyl]-2-[[[(6-oxo-6,9-dihydro-1Hpurin-2-yl) amino] methyl]amino]-1,9-dihydro-6H-purin-6-one

| Product Code: DH/VLC/1023 | Molecular Formula: C17H22N10O6 |
| CAS Number: 1797131-64-6 | Molecular Weight: 462.42 |
Synonyms: 2,2′-(Methylenediimino)bis[9-[(2-hydroxyethoxy)methyl]-1,9-dihydro-6H-purin-6-one]