
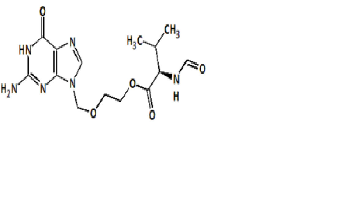
| Product Code: DH/VLC/1013 | Molecular Formula: C14H20N6O5 |
| CAS Number: 847670-62-6 | Molecular Weight: 352.35 |
Synonyms: 2-[(2-Amino-6-oxo-1,6-dihydro-9H-purin-9-yl)methoxy]ethyl N-formyl-L-valinate

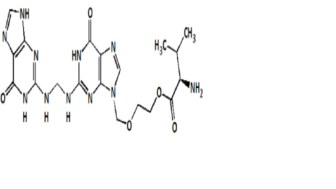
| Product Code: DH/VLC/1024 | Molecular Formula: C19H25N11O5 |
| CAS Number: NA | Molecular Weight: 487.47 |
Synonyms: 2-[[6-Oxo-2-[[[(6-oxo-6,9-dihydro-1H-purin-2-yl)amino]methyl]amino]-1,6-dihydro-9H-purin-9-yl]methoxy]ethyl L-valinate

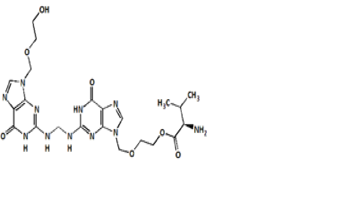
| Product Code: DH/VLC/1025 | Molecular Formula: C22H31N11O7 |
| CAS Number: NA | Molecular Weight: 561.55 |
Synonyms: 2-[[2-[[[[9-[(2-Hydroxyethoxy)methyl]-6-oxo-6,9-dihydro-1H-purin-2-yl] amino] methyl]amino]-6-oxo-1,6-dihydro-9H-purin-9-yl]methoxy]ethyl L-valinate

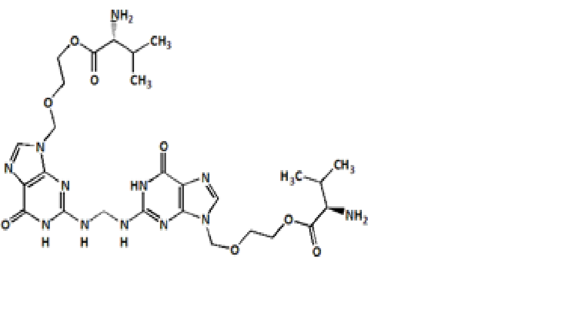
| Product Code: DH/VLC/1009 | Molecular Formula: C27H40N12O8 |
| CAS Number: 1356019-51-6 | Molecular Weight: 660.68 |
Synonyms: 2,2′-[Methylenebis[imino(6-oxo-1,6-dihydro-9H-purine-9,2-diyl)methylene oxy]] diethyl di(L-valinate)

| Product Code: DH/VLC/1026 | Molecular Formula: C19H25N11O5 |
| CAS Number: NA | Molecular Weight: 487.47 |
Synonyms: 2-[(2-Amino-6-oxo-1,6-dihydro-9H-purin-9-yl)methoxy]ethyl N-[[(6-oxo-6,9-dihydro-1H-purin-2-yl)amino]methyl]-L-valinate