
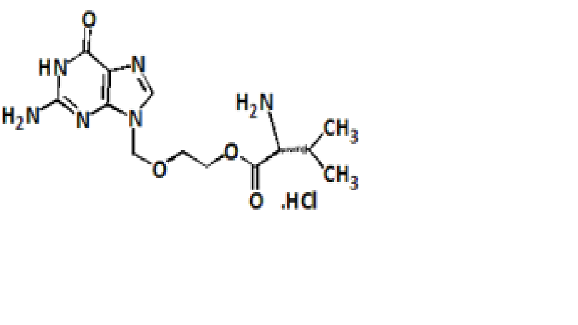
| Product Code: DH/VLC/1004 | Molecular Formula: C13H21ClN6O4 |
| CAS Number: 124832-28-6 | Molecular Weight: 360.8 |
Synonyms: 2-[(2-Amino-6-oxo-1,6-dihydro-9H-purin-9-yl)methoxy]ethyl D-valinate hydrochloride

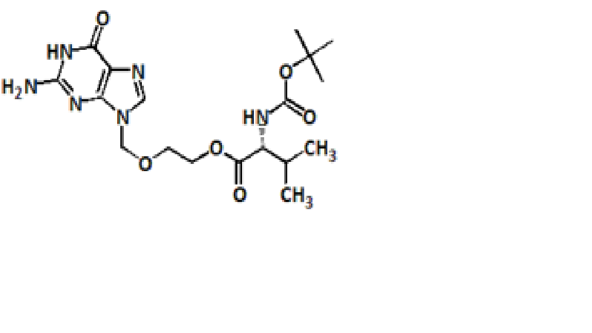
| Product Code: DH/VLC/1011 | Molecular Formula: C18H28N6O6 |
| CAS Number: NA | Molecular Weight: 424.45 |
Synonyms: 2-[(2-Amino-6-oxo-1,6-dihydro-9H-purin-9-yl)methoxy]ethyl N-(tert-butoxycarbonyl)-D-valinate Form

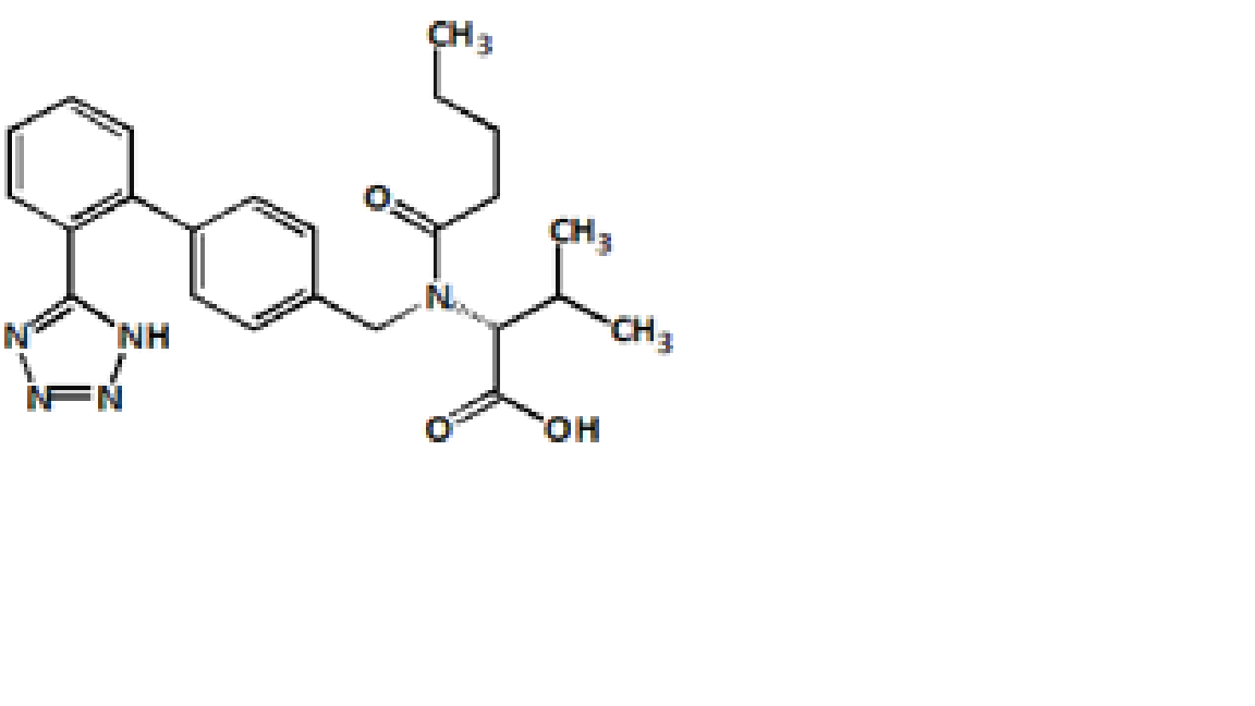
| Product Code: DH/VLS/1008 | Molecular Formula: C24H29N5O3 |
| CAS Number: 137862-87-4 | Molecular Weight: 435.52 |
Synonyms: (2R)-3-Methyl-2-[pentanoyl[[2`-(1H-teyrazol-5-yl)biphenyl-4-yl]methyl]amino]butanoic acid

| Product Code: DH/VLS/1010 | Molecular Formula: C31H35N5O3 |
| CAS Number: 137863-20-8 | Molecular Weight: 525.64 |
Synonyms: Benzyl(2S)-3-Methyl-2-[pentanoyl[[2`-(1H-teyrazol-5-yl)biphenyl-4-yl]methyl]amino]butanoate

| Product Code: DH/VLS/1001 | Molecular Formula: C23H27N503 |
| CAS Number: 952652-79-8 | Molecular Weight: 421.49 |
Synonyms: (2S)-2-[butanoyl[[2`-(1H-teyrazol-5-yl)biphenyl-4-yl]methyl]amino]-3-methylbutanoic acid