
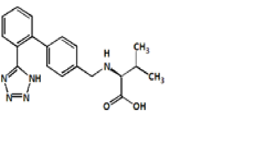
| Product Code: DH/VLS/1004 | Molecular Formula: C19H21N5O2 |
| CAS Number: N/A | Molecular Weight: 351.4 |
Synonyms: (2S)-3-Methyl-2-[[[2`-(1H-tetrazol-5-yl)biphenyl-4-yl]methyl]amino]butanoic acid

| Product Code: DH/VLS/1007 | Molecular Formula: C25H31N5O3 |
| CAS Number: 137863-17-3 | Molecular Weight: 449.55 |
Synonyms: N-(1-Oxopentyl)-N-[[2'-(1H-tetrazol-5-yl)[1,1'-biphenyl]-4-yl]methyl]-L-valine methyl ester
| Product Code: DH/VRZ/1013 | Molecular Formula: C10H7F2N3O |
| CAS Number: 86404-63-9 | Molecular Weight: 223.18 |
Synonyms: 1-(2,4-Difluorophenyl)-2-(1H-1,2,4-triazol-1-yl)ethanone
| Product Code: DH/VRZ/1001 | Molecular Formula: C16H15F2N5O |
| CAS Number: 182369-73-9 | Molecular Weight: 331.32 |
Synonyms: (2RS,3SR)-2-(2,4-Difluorophenyl)-3-pyrimidin-4-yl-1-(1H-1,2,4-triazol-1-yl)butan-2-ol
| Product Code: DH/VRZ/1014 | Molecular Formula: C6H7FN2 |
| CAS Number: 137234-88-9 | Molecular Weight: 126.13 |
Synonyms: 4-Ethyl-5-fluoropyrimidine