| Product Code: DH/VRZ/1011 | Molecular Formula: C16H14F3N5O |
| CAS Number: 137234-63-0 | Molecular Weight: 349.31 |
Synonyms: (2S,3R)-2-(2,4-Difluorophenyl)-3-pyrimidin-4-yl-1-(1H-1,2,4-triazol-1-yl)butan-2-ol
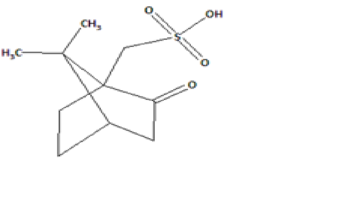
| Product Code: DH/VRZ/1015 | Molecular Formula: C10H16O4S |
| CAS Number: 5872-08-2 | Molecular Weight: 232.30 |
Synonyms: ({(1RS,4SR)-7,7-Dimethyl-2-oxobicyclo[2.2.1]hept-1-yl}methanesulphonic acid); Voriconazole Related Compound F

| Product Code: DH/ZIP/1001 | Molecular Formula: C11H13N3S |
| CAS Number: 87691-87-0 | Molecular Weight: 219.31 |
Synonyms: 3-Piperazin-1-yl-1,2-benzisothiazole

| Product Code: DH/ZIP/1002 | Molecular Formula: C21H19ClN4O2S |
| CAS Number: 1159977-56-6 | Molecular Weight: 426.92 |
Synonyms: 5-[2-[4-(1,2-Benzisothiazol-3-yl)piperazin-1-yl]ethyl]-6-chloro-1H-indole-2,3-dione

| Product Code: DH/ZIP/1003 | Molecular Formula: C21H22ClN4NaO2S |
| CAS Number: 1798033-44-9 | Molecular Weight: 452.93 |
Synonyms: 2-[2-Amino-5-[2-[4-(1,2-benzisothiazol-3-yl)piperazin-1-yl]ethyl]-4-chlorophenyl]acetic acid sodium salt