
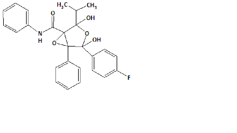
| Product Code: DH /ATV /1032 | Molecular Formula: C26H24FNO5 |
| CAS Number: 873950-19-7 | Molecular Weight: 449.47 |
Synonyms: 4-(4-Fluorophenyl)-2,4-dihydroxy-2-(1-methylethyl)-N,5-diphenyl-3,6-dioxabicyclo[3.1.0]hexane-1-carboxamide

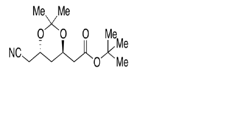
| Product Code: DH /ATV/1026 | Molecular Formula: C14H23NO4 |
| CAS Number: 196085-84-4 | Molecular Weight: 269.34 |
Synonyms: Tert-butyl 2-((4R,6S)-6-(cyanomethyl)-2,2-dimethyl-1,3-dioxan-4-yl)acetate.

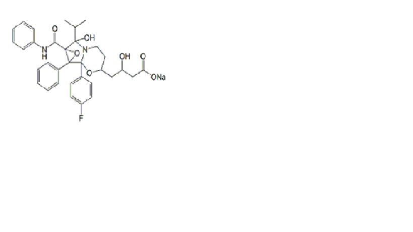
| Product Code: DH /ATV/1034 | Molecular Formula: C33H34FN2O7 |
| CAS Number: 887470-43-1 | Molecular Weight: 589.63 |
Synonyms: 7-[N-Phenyl-2-[4-(4-fluorophenyl]-6-methylethyl]-3,7-dioxa-5-azatricyclo [4.1.0.02,4]-4-[{phenylamino}

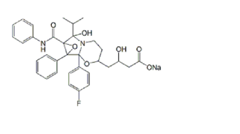
| Product Code: DH / ATV/1033 | Molecular Formula: C33H34FN2NaO7 |
| CAS Number: 1315629-79-8 | Molecular Weight: 612.62 |
Synonyms: (3R)-4-(1b-(4-Fluorophenyl)-7-hydroxy-7-
isopropyl-1a-phenyl-7a-(phenyl carbamoyl) hexahydro-1aH-oxireno[2',3':3,4]pyrrolo[2,1-
b][1,3]oxazin-3-yl)-3-hydroxybutanoic acid sodium salt

| Product Code: DH /ATV/1033 | Molecular Formula: C33H34FN2NaO7 |
| CAS Number: 1315629-79-8 | Molecular Weight: 612.62 |
Synonyms: (3R)-4-(1b-(4-Fluorophenyl)-7-hydroxy-7-isopropyl-1a-phenyl-7a-(phenyl carbamoyl) hexahydro-1aH-oxireno[2',3':3,4]pyrrolo[2,1-b][1,3]oxazin-3-yl)-3-hydroxybutanoic acid sodium salt.