
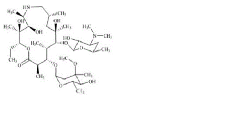
| Product Code: DH /AZT/1001 | Molecular Formula: C37H70N2O12 |
| CAS Number: 76801-85-9 | Molecular Weight: 734.96 |
Synonyms: 9-Deoxo-9a-aza-9a-homo Erythromycin A

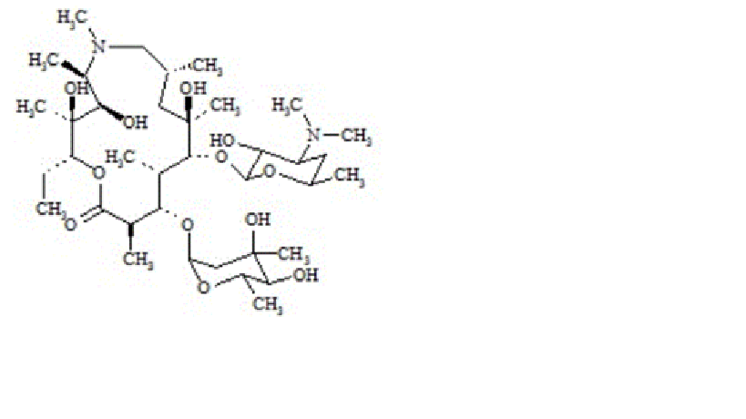
| Product Code: DH /AZP/1002 | Molecular Formula: C38H72N2O11 |
| CAS Number: 307974-61-4 | Molecular Weight: 732.99 |
Synonyms: : 3-Deoxyazithromycin

| Product Code: DH /AZT/1003 | Molecular Formula: C37H70N2O12 |
| CAS Number: 620169-47-3 | Molecular Weight: 734.96 |
Synonyms: 3″-O-Demethyl Azithromycin ; 3″-O-Demethylazithromycin

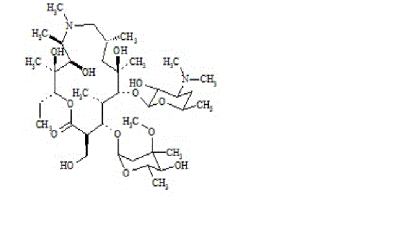
| Product Code: :DH /AZT/1004 | Molecular Formula: C38H72N2O13 |
| CAS Number: 612069-26-8 | Molecular Weight: 764.98 |
Synonyms: 14-Demethyl-14-(hydroxymethyl)azithromycin

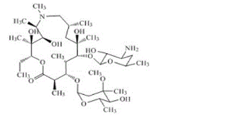
| Product Code: DH /AZT/1005 | Molecular Formula: C36H68N2O12 |
| CAS Number: 612069-27-9 | Molecular Weight: 720.93 |
Synonyms: Amino Azithromycin ; 3′-(N,N-Didemethyl)azithromycin ;