
| Product Code: DH /AZT/1006 | Molecular Formula: C38H70N2O13 |
| CAS Number: N/A | Molecular Weight: 762.97 |
Synonyms: 3′-N-Demethyl-3′-N-formylazithromycin ; Azithromycin USP RC F ;

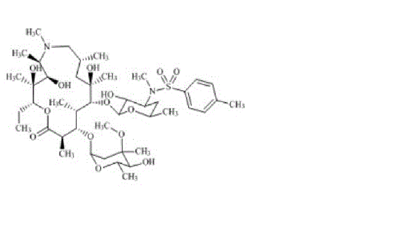
| Product Code: DH/AZT/1007 | Molecular Formula: C44H76N2O14S |
| CAS Number: 612069-31-5 | Molecular Weight: 889.14 |
Synonyms: 3′-N-Demethyl-3′-N-[(4-methylphenyl)sulfonyl]azithromycin

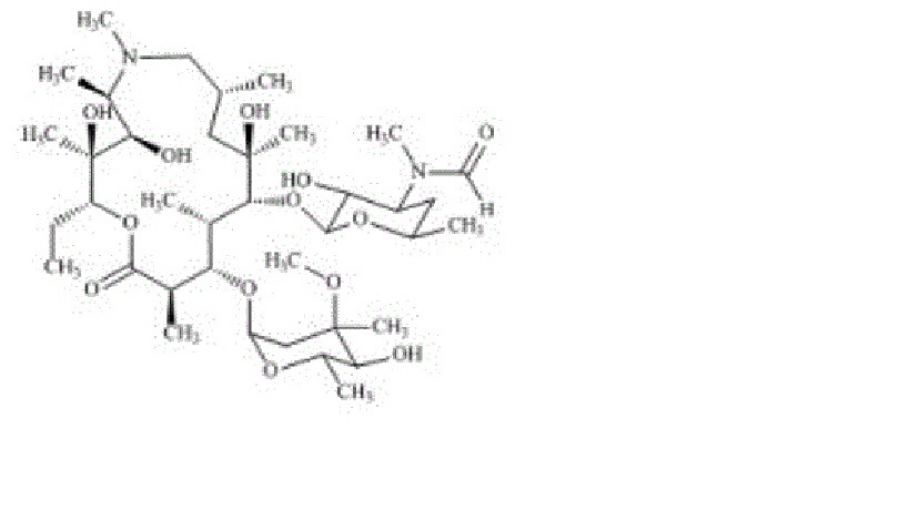
| Product Code: DH/AZT/1008 | Molecular Formula: C45H77N3O15S |
| CAS Number: 612069-30-4 | Molecular Weight: 932.17 |
Synonyms: 3′-N-[[4-(Acetylamino)phenyl]sulfonyl]-3′-N-demethylazithromycin ;Azithromycin USP RC H ;

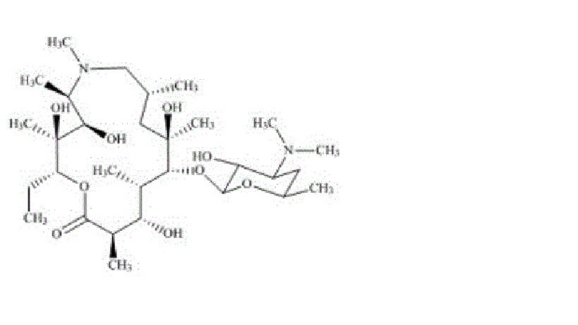
| Product Code: DH /AZT/1010 | Molecular Formula: C30H58N2O9 |
| CAS Number: 117693-41-1 | Molecular Weight: 590.79 |
Synonyms: 13-O-Decladinosylazithromycin ;

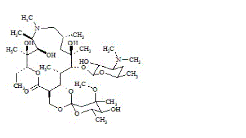
| Product Code: DH /AZT/1011 | Molecular Formula: C38H70N2O13 |
| CAS Number: 612534-95-9 | Molecular Weight: 762.97 |
Synonyms: C14,1″-Epoxy Azithromycin