
| Product Code: DH /AZT/1013 | Molecular Formula: C37H68N2O13 |
| CAS Number: 765927-71-7 | Molecular Weight: 748.94 |
Synonyms: 3′-(N,N-Didemethyl)-3′-N-formylazithromycin

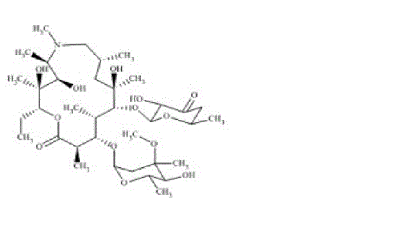
| Product Code: DH /AZT/1014 | Molecular Formula: C36H65NO13 |
| CAS Number: 612069-25-7 | Molecular Weight: 719.9 |
Synonyms: 3′-De(Dimethylamino)-3′-oxoazithromycin ;

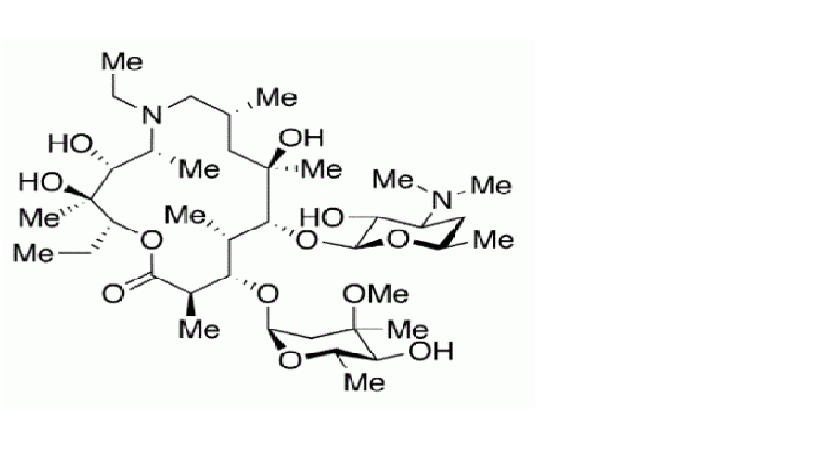
| Product Code: DH /AZT/1015 | Molecular Formula: C39H74N2O12 |
| CAS Number: 763924-54-5 | Molecular Weight: 763.01 |
Synonyms: 2-Desethyl-2-propylazithromycin

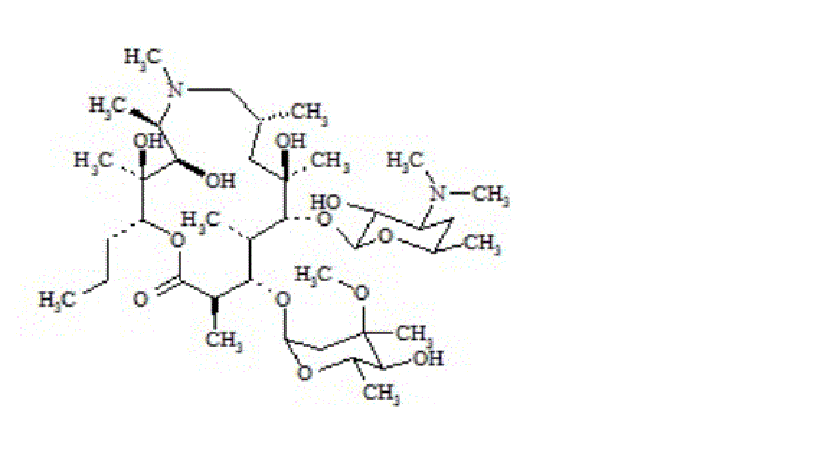
| Product Code: DH /AZT/1016 | Molecular Formula: C39H74N2O12 |
| CAS Number: 92594-45-1 | Molecular Weight: 763.02 |
Synonyms: Azithromycin N-Ethyl

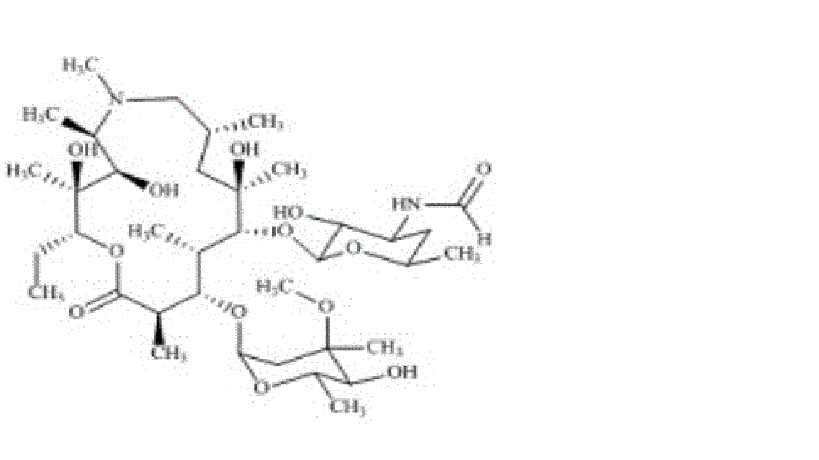
| Product Code: DH /AZT/1017 | Molecular Formula: C44H75N3O15S |
| CAS Number: NA | Molecular Weight: 918.15 |
Synonyms: N-[4-[[2-[[(2R,3R,4S,5R,8R,10R,11R,12S,13S,14R)-2-ethyl-4,10-dihydroxy-13-(5-hydroxy-4-methoxy-4,6-dimethyl-tetrahydropyran-2-yl)oxy-3,5,6,8,10,12,14-heptamethyl-15-oxo-1-oxa-6-azacyclopentadec-11-yl]oxy]-3-hydroxy-6-methyl-tetrahydropyran-4-yl]sulfamoyl]phenyl]acetamide; 3’-N-{[4-(Acetylamino)phenyl]sulfonyl}-3’,3’-didemethylazithromycin;