
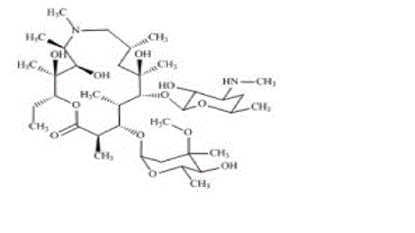
| Product Code: DH /AZT/1018 | Molecular Formula: C37H66N2O12 |
| CAS Number: 161193-44-8 | Molecular Weight: 730.94 |
Synonyms: Erythromycin A 9,11-Imino Ethe

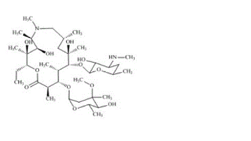
| Product Code: DH / AZT/1009 | Molecular Formula: C37H70N2O12 |
| CAS Number: 172617-84-4 | Molecular Weight: 734.96 |
Synonyms: N'-Desmethyl Azithromycin ; N-Demethylazithromycin (USP) ; 3′-N-
Demethylazithromycin

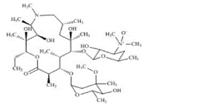
| Product Code: DH / AZT/1012 | Molecular Formula: C38H72N2O13 |
| CAS Number: 90503-06-3 | Molecular Weight: 764.98 |
Synonyms: Azithromycin 3'-N-Oxide ; Azithromycin N-Oxide (USP)

| Product Code: DH /AZT/1009 | Molecular Formula: C37H70N2O12 |
| CAS Number: 172617-84-4 | Molecular Weight: 734.96 |
Synonyms: N'-Desmethyl Azithromycin ; N-Demethylazithromycin (USP) ; 3′-N-Demethylazithromycin

| Product Code: DH /AZT/1012 | Molecular Formula: C38H72N2O13 |
| CAS Number: 90503-06-3 | Molecular Weight: 764.98 |
Synonyms: Azithromycin 3'-N-Oxide ; Azithromycin N-Oxide (USP)