
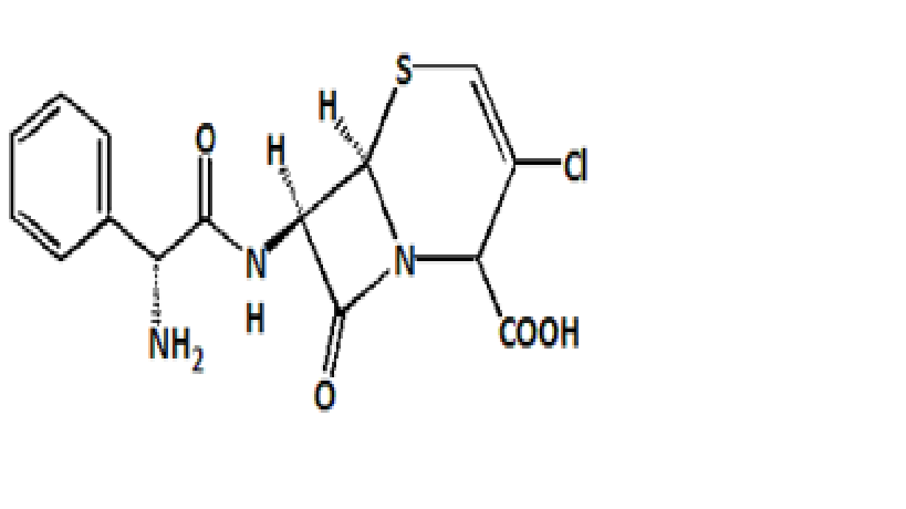
| Product Code: DH /CFR/1004 | Molecular Formula: C15H14ClN3O4S |
| CAS Number: 152575-13-8 | Molecular Weight: 367.81 |
Synonyms: (2R,6R,7R)- and (2S,6R,7R)-7-[[(2R)-2-Amino-2-phenylacetyl]amino]-3-chloro-8-oxo-5-thia-1-azabicyclo[4.2.0] oct-3-ene-2-carboxylic acid

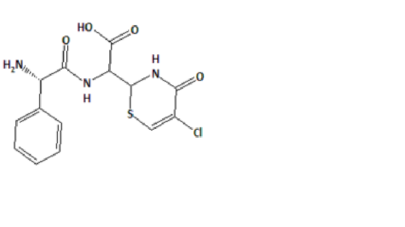
| Product Code: DH /CFR/1005 | Molecular Formula: C14H14ClN3O4S |
| CAS Number: 188915-50-6 | Molecular Weight: 355.8 |
Synonyms: 2-[[(2R)-2-Amino-2-phenylacetyl]amino]-2-(5-chloro-4-oxo-3,4-dihydro-2H-1,3-thiazin-2-yl)acetic acid

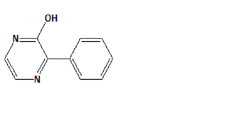
| Product Code: DH /CFR/1006 | Molecular Formula: C10H8N2O |
| CAS Number: 2882-18-0 | Molecular Weight: 172.18 |
Synonyms: 3-Phenylpyrazin-2

| Product Code: DH /CFR/1007 | Molecular Formula: C16H17N3O4S |
| CAS Number: 37050-97-8 | Molecular Weight: 347.39 |
Synonyms: (2RS,6R,7R)-7-[[(2R)-2-Amino-2-phenylacetyl]amino]-3-methylene-8-oxo-5-thia-1-azabicyclo[4.2.0]octane-2-carboxylic acid

| Product Code: DH /CFR/1008 | Molecular Formula: C23H21ClN4O4S |
| CAS Number: NA | Molecular Weight: 500.95 |
Synonyms: (6R,7R)-7-[[(2R)-2-[[(2R)-2-Amino-2-phenylacetyl]amino]-2-phenylacetyl]amino]-3-chloro-8-oxo-5-thia-1-azabicyclo[4.2.0]oct-2-ene-2-carboxylic acid.