
| Product Code: DH /CTZ/1003 | Molecular Formula: C17H19ClN2 |
| CAS Number: 303-26-4 | Molecular Weight: 286.8 |
Synonyms: (RS)-1-[(4-Chlorophenyl)phenylmethyl]piperazine

| Product Code: DH /CTZ/1008 | Molecular Formula: C19H21ClN2O2 |
| CAS Number: 113740-61-7 | Molecular Weight: 344.84 |
Synonyms: (RS)-2-{4-[(4-Chlorophenyl)phenylmethyl]piperazine-1-yl}acetic acid

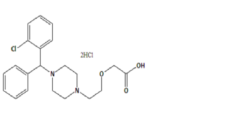
| Product Code: DH /CTZ/1002 | Molecular Formula: C21H27Cl3N2O3 |
| CAS Number: 83881-59-8 (base) | Molecular Weight: 461.81 |
Synonyms: (RS)-2-[2-[4-[(2-Chlorophenyl)phenylmethyl]piperazin-1-yl]ethoxy] acetic acid dihydrochloride

| Product Code: DH /CTZ/1009 | Molecular Formula: C30H28Cl2N2 |
| CAS Number: 346451-15-8 | Molecular Weight: 487.46 |
Synonyms: 1,4-Bis[(4-chlorophenyl)phenylmethyl]piperazine

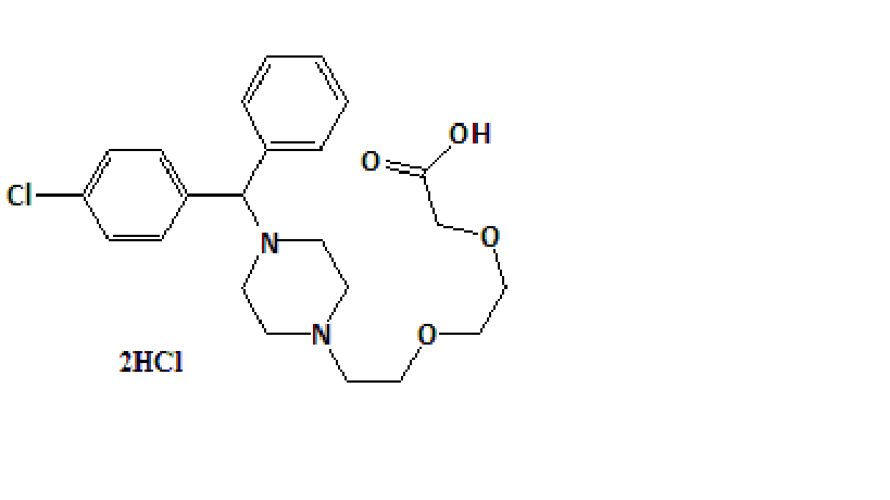
| Product Code: DH /CTZ/1001 | Molecular Formula: C23H31Cl3N2O4 |
| CAS Number: 682323-77-9 (base),83881-56-5 (HCl) | Molecular Weight: 505.86 |
Synonyms: (RS)-2-[2-[2-[4-[(4-Chlorophenyl)phenylmethyl]piperazin-1-yl]ethoxy] ethoxy] acetic acid dihydrochloride.