
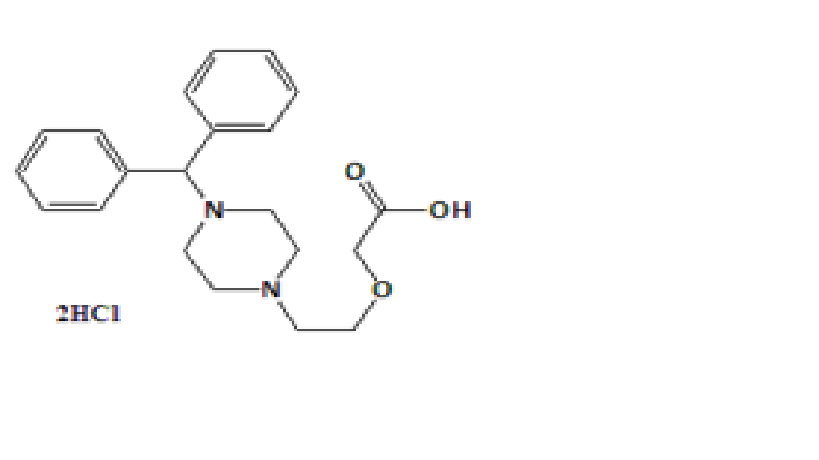
| Product Code: DH /CTZ/1006 | Molecular Formula: C21H26N2O3.2HCl |
| CAS Number: 83881-54-3 | Molecular Weight: 427.36 |
Synonyms: [2-[4-(Diphenylmethyl)piperazin-1-yl]ethoxy]acetic acid dihydrochloride

| Product Code: DH /CTZ/1007 | Molecular Formula: C19H25Cl3N2O |
| CAS Number: 728948-88-7 | Molecular Weight: 403.77 |
Synonyms: 2-[4-[(RS)-(4-Chlorophenyl)phenylmethyl]piperazin-1-yl]ethanol dihydrochloride

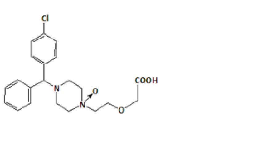
| Product Code: DH /CTZ/1005 | Molecular Formula: C21H25ClN2O4 |
| CAS Number: 1076199-80-8 | Molecular Weight: 404.89 |
Synonyms: [2-[4-(4-Chlorophenyl)phenylmethyl]-1-oxido-1-piperazinyl]ethoxy]acetic Acid
_Cetirizine HCl.png)
| Product Code: DH /LCT/1001 | Molecular Formula: C21H27Cl3N2O3 |
| CAS Number: 163837-48-7 | Molecular Weight: 461.81 |
Synonyms: 2-[2-[(S)-4-[(4-Chlorophenyl)phenylmethyl]piperazine-1-yl]ethoxy]acetic acid dihydrochloride

| Product Code: DH /CTZ/1010 | Molecular Formula: C21H25ClN₂O₃.2HCl |
| CAS Number: 1232460-29-5 | Molecular Weight: 461.81 |
Synonyms: (RS)-2-[2-[4-[(3-Chlorophenyl)phenylmethyl]piperazin-1-yl]ethoxy] acetic acid dihydrochloride