
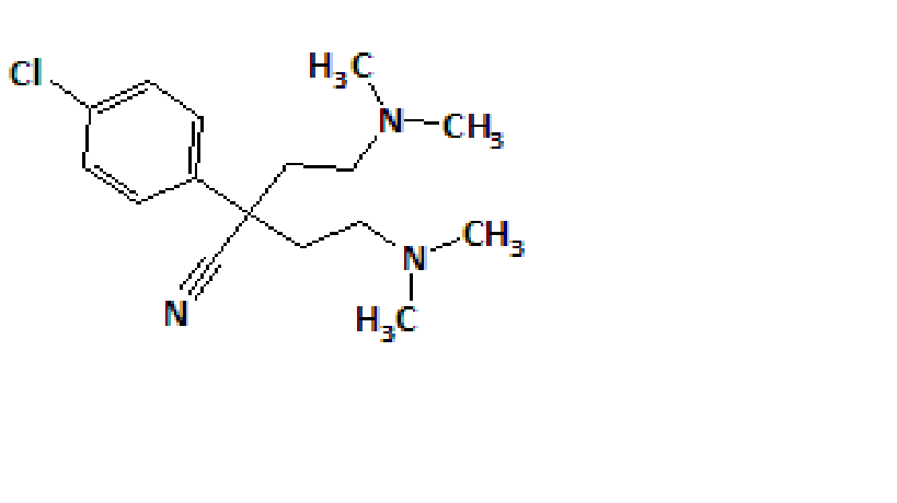
| Product Code: DH /CPA/1001 | Molecular Formula: C16H24ClN3 |
| CAS Number: 1246816-57-8 | Molecular Weight: 293.83 |
Synonyms: 2-(4-Chlorophenyl)-4-(dimethylamino)-2-[2-(dimethylamino)ethyl]butanenitrile

| Product Code: DH /CPA/1002 | Molecular Formula: C10H9N3 |
| CAS Number: 1202-34-2 | Molecular Weight: 171.20 |
Synonyms: Di(pyridin-2-yl)amine

| Product Code: DH /CPA/1003 | Molecular Formula: C19H21ClN2O4 |
| CAS Number: 22630-25-7 | Molecular Weight: 376.83 |
Synonyms: 3-(4-Chlorophenyl)-N-methyl-3-(pyridin-2-yl)propan-1-amine maleate

| Product Code: DH /CPA/1004 | Molecular Formula: C16H19ClN2O |
| CAS Number: 120244-82-8 | Molecular Weight: 290.80 |
Synonyms: 3-(4-Chlorophenyl)-N,N-dimethyl-2-pyridinepropanamine N-oxide

| Product Code: DH /CPN/1001 | Molecular Formula: C₁₇H₁₉ClN₂OS |
| CAS Number: 969-99-3 | Molecular Weight: 334.86 |
Synonyms: 3-(2-chloro-10H-phenothiazin-10-yl)-N,N-dimethylpropan-1-amine S-oxide